Ein aus einem Gletscher oder Eisschild gebohrter Zylinder aus Eis. Auf solchen Bohrkernen beruht eine wichtige Methode in der Paläoklimatologie zur Gewinnung von Proxydaten und damit zur Ausweisung bzw. Rekonstruktion von Klimaveränderungen. Eisbohrkerne werden in den Zentralbereichen von polaren Eisschilden und Eiskappen gewonnen. Man geht von einer geringen, kalkulierbaren Eisbewegung, einer jährlichen Akkumulation mit ausweisbarer Jahresschichtung und der Abwesenheit von Schmelzwasser im Prozess der Schneemetamorphose und Eisgenese aus.
Man analysiert an Eiskernen die Zusammensetzung der in den kleinen Luftporen des Eises eingeschlossenen Luft, die Aufschluss über die Zusammensetzung der Atmosphäre zum Zeitpunkt der Schneeakkumulation bzw. Eisentstehung geben soll. Das Verhältnis der Sauerstoffisotopen (18O/16O) gibt Aufschluss über die Paläotemperatur, der Aciditätsindex (gemessen über die elektrische Leitfähigkeit) über die im Eis enthaltenen Gase aus Vulkanausbrüchen. Der "dust veil index" (DVI) liefert Aussagen über die ebenfalls im Eis enthaltenen Staubpartikel, auch sie stammen von Vulkanausbrüchen.
Üblicher Arbeitszyklus
Eisbohrkerne werden tiefgefroren, um sie zu erhalten und in Ruhe in den Forschungslabors in der ganzen Welt untersuchen zu können. Hier misst ein wissenschaftlicher Techniker des NSF-ICF einen Abschnitt des WAIS Divide-Eiskerns, der gerade seine Reise durch eine Kernverarbeitungsstraße antritt. Wissenschaftler und Techniker werden das Eis schneiden, damit es zur Analyse an Labore verschickt werden kann.
Helle Schichten im Eis entstanden in Wintern, dunklere in Sommern. Sie werden wie Jahresringe bei Bäumen abgezählt. Durch Einlagerungen wie z.B. Vulkanasche und Staub lassen sich die Schichten genau datieren. Luftblasen sind im Eis eingeschlossen. Durch sie kann man die Zusammensetzung der Luft in früheren Zeiten analysieren.
Von den vielen Stoffen, die in den Eisbohrkernen enthalten sind, zeigt die Grafik zwei: Den Gehalt an Sulfat (gelb) und den Anteil des Sauerstoffisotops 18O.
Die gelbe Kurve zeigt sehr genau, dass sich im Eis auch die Auswirkungen von Ereignissen an anderen Ecken der Welt ablesen lassen. Die hohen Ausschläge markieren große Vulkanausbrüche, die viel Sulfat in die Atmosphäre geschleudert haben. Sie lassen sich relativ genau datieren. Bei einigen kann man das Ausbruchsjahr nur ungefähr angeben, daher ist die Abweichung +/- x hinter der Jahreszahl vermerkt.
Die blaue Kurve zeigt, bei welcher Temperatur das Eis einmal gefroren ist. Im Mittel waren das -45°C. Wärmere, rot markierte und kältere gekennzeichnete Phasen werden hier ganz deutlich.
Bis zu einer Million Jahre zurück reichen die Klimakalender im Eis der inneren Antarktis, mehr als 100.000 Jahre im Inlandeis Grönlands und auch in den Gletschern der Hochgebirge der Erde kann sich alte Klimainformation erhalten – sogar in hochgelegenen tropischen und subtropischen Gletschern Afrikas und Südamerikas. Klimainformation ist in den stabilen Isotopen des Eises selbst gespeichert. Die Zusammensetzung der Luft früherer Jahrtausende und Jahrhunderttausende kann in den im Eis eingeschlossenen „fossilen“ Luftbläschen analysiert werden.
Das Ekman-Pumping oder Abtrieb ist die Komponente des Ekman-Transports, die aufgrund der Konvergenz des Wassers zu Gebieten mit abwärts gerichteten Wassermassen (downwelling) führt. Das Konzept der Massenerhaltung erfordert, dass eine Akkumulation von Oberflächenwasser nach unten gedrückt werden muss. Diese Anhäufung von warmem, nährstoffarmem Oberflächenwasser wird vertikal in der Wassersäule nach unten gepumpt, was zu Gebieten mit abwärts gerichtetem Wasser führt (downwelling).
Das Ekman-Pumpen hat dramatische Auswirkungen auf die umgebende Umwelt. Der durch das Ekman Pumping verursachte Abwärtstrend führt zu nährstoffarmen Wassermassen und verringert somit die biologische Produktivität des Gebiets. Außerdem werden Wärme und gelöster Sauerstoff vertikal in der Wassersäule nach unten transportiert, da warmes, sauerstoffreiches Oberflächenwasser in die Tiefsee gepumpt wird.
Das Ekman-Pumpen ist sowohl an den Küsten als auch im offenen Ozean zu beobachten. Entlang der Pazifikküste der südlichen Hemisphäre wehen Nordwinde parallel zur Küstenlinie. Aufgrund des Coriolis-Effekts wird das Oberflächenwasser um 90° nach links von der Windströmung weggezogen, so dass das Wasser entlang der Küstengrenze konvergiert, was zum Ekman-Pumpen führt. Im offenen Ozean tritt das Ekman-Pumpen bei Wirbeln auf. Insbesondere in den Subtropen, zwischen 20°N und 50°N, kommt es zum Ekman-Pumpen, wenn die Passatwinde zu Westwinden werden und sich das Oberflächenwasser aufstaut.
Positive (negative) SST-Anomalien (SSTAs) schwächen (verstärken) die äquatorialen Passatwinde, reduzieren (erhöhen) den Auftrieb von kaltem Untergrundwasser im östlichen äquatorialen Pazifik und verstärken damit die ursprüngliche SSTA.
Nach dem schwedischen OzeanographenV. Walfrid Ekman (1874-1954) geprägter Ausdruck für die Tiefenabhängigkeit von Wasserbewegungen im Meer, die sich idealerweise in einer vertikalen Spirale äußert.
Wind, der über eine Wasseroberfläche weht, übt eine Schubkraft auf diese in Windrichtung aus. Die Corioliskraft lenkt die Bewegung ab, auf der Nordhalbkugel nach rechts, auf der Südhalbkugel nach links. An der Oberfläche liegt die Strömungsrichtung 45° zum Wind. Über Reibungkräfte teilen die an der Oberfläche bewegten Wasserteilchen die Schubkraft des Windes auch tieferliegenden Schichten mit. Durch die Reibung verringert sich die Geschwindigkeit, und die Richtung ändert sich stetig mit der Coriolis-Beschleunigung, so dass die Endpunkte der Vektoren eine Spirale beschreiben. Mit fortschreitender Tiefe werden Geschwindigkeit und Reibung vernachlässigbar klein.
Die gesamte unter dem Einfluß von Windschubkraft und Reibung stehende Schicht, deren Dicke je nach Windstärke und geographischer Breite zwischen 40 und 100 m beträgt, wird (vor allem im angelsächsischen Bereich) Ekman-Schicht genannt. An ihrer Unterseite, der Ekman-Tiefe, hat sich die Strömungsrichtung um 180° gedreht, und der Betrag der Strömung hat auf 1/23 des Oberflächenwerts abgenommen. Die durchschnittliche Richtung (auch "Nettotransport" oder "resultierende Gesamtströmung") des Wassertransportes in der Ekman-Schicht wird gemeinhin als Ekman-Transport bezeichnet und ist 90° zur Windrichtung. Wenn also der Wind an der peruanischen Küste nach N weht, dann treibt er das oberflächennahe Wasser nach W in den offenen Pazifik. Entsprechend verursacht ein Ostwind am Äquator in der windgetriebenen oberflächennahen Meeresströmung eine Divergenz weg vom Äquator, hin zu beiden Hemisphären und bewirkt so einen Auftrieb entlang des Äquators.
Die Ekman-Theorie trägt wesentlich zur Erklärung von Auftriebsprozessen bei. Diese sind die hauptsächlichen Ursachen für Kaltwassergebiete im eigentlich subtropischen Bereich an den westlichen Küsten der Kontinente und entlang dem Äquator.
Die Ekman-Spirale auf der Südhalbkugel
Draufsicht
Quellen: Kelletat, Physische Geographie (modifiziert) Gross, M. Grant (1995). Principles of Oceanography. (übersetzt, modifiziert)
Der Ekman-Transport ist die in eine turbulente Grenzschicht von Atmosphäre und Ozean vertikal integrierte und von der Erdrotation beeinflusste Strömung. Der Transportmechanismus ist benannt nach dem schwedischen Ozeanographen Vagn Walfrid Ekman, der die erste realistische Theorie der windgetriebenen Strömung aufgestellt hat. Der Ekman-Transport wird bestimmt durch das Gleichgewicht zwischen der durch die bewegte Wassersäule induzierten Corioliskraft und der Differenz der turbulenten Schubspannung zwischen der oberen und unteren Berandung dieser Wassersäule in der turbulenten Grenzschicht.
Das zuerst von F. Nansen Ende des 19. Jh. bei Fahrten ins Nordpolarmeer beobachtete Phänomen, daß die Richtung der Eisdrift um 20-40° von der Windrichtung abweicht. Der schwedische Physiker V. Walfried Ekman (1905) versuchte das Problem mathematisch zu lösen und legte damit den Grundstein für die wichtigsten theoretischen Entwicklungen in der dynamischen Ozeanographie. Aus der hydrodynamischen Bewegungsgleichung für die Wassermassen in einem homogenen, unendlich tiefen und ausgedehnten Ozean folgen bei Berücksichtigung der vom Wind erzeugten Oberflächenschubspannung, der Reibungs- und Corioliskraft die Ekman-Gleichungen.
Folgende grundlegende Aussagen beschreiben die Ekman-Theorie: Betrachtet wird eine Wassersäule, welche aus infinitesimal Schichten aufgebaut ist, wobei in jeder einzelnen Schicht eine konstante Geschwindigkeit herrscht. Mit zunehmender Tiefe wird die Geschwindigkeit der wind-angeregten Strömung geringer. Auf der Nordhemisphäre verursacht die Corioliskraft eine Ablenkung der Oberflächenströmung nach rechts in bezug auf die Windrichtung, nach links auf der Südhalbkugel. Jede Wasserschicht wird dabei leicht nach rechts bezüglich der über ihr liegenden Wasserschicht abgelenkt, wodurch ein spiralförmiger Strom entsteht (Ekman-Spirale).
Die Tiefe der durch den Windstress beeinflussten Schicht hängt - ausser vom Windstress selbst - von der geographischen Breite ab. So beträgt die Tiefe der Ekman-Schicht bei einer Windgeschwindigkeit von 10m/sec bei 10° 200 m, während sie bei 80° nur mehr 45 m beträgt.
Der Ekman-Transport spielt auch in äquatornahen Gebieten eine Rolle und kann dort zu Aufquellen (Upwelling) führen. Passatwinde, also östliche Winde, die von der Nord- und Südhemisphäre her am Äquator konvergieren, führen zu einem divergierenden Ekman-Transport, weil die Corioliskraft die Strömungen beidseits des Äquators polwärts ablenkt. Dadurch entsteht eine leichte "Rinne" in der Wasseroberfläche, als Folge wölbt sich die Thermokline auf. Entlang des Äquators, besonders im Pazifik, findet sich deshalb eine Region mit tieferen Meeresoberflächentemperaturen aufgrund des aufquellenden, kühlen Wassers.
Wenn der Passatwind der einen Hemisphäre in die andere Hemisphäre übertritt, ändert sich auch das Vorzeichen des Ekman-Transports. Wenn also der Südostpassat auf die Nordhemisphäre übertritt und am Äquator zum Südwind wird, entsteht ein nordäquatorialer Gegenstrom (oft auch nur Äquatorialer Gegenstrom genannt). In der Konsequenz entsteht das komplizierte Strömungsmuster des tropischen Pazifiks mit zwei äquatorialen Strömen von Ost nach West und dazwischen einem Gegenstrom von West nach Ost.
Ekman-Transport
Wenn in der Nähe des Äquators über einen längeren Zeitraum ein Wind auf der Meeresoberfläche weht, fließt die resultierende Oberflächenströmung nicht wie zu erwarten in Windrichtung. Stattdessen ist die durchschnittliche Strömung als Folge der Corioliskraft 90° links von der Windrichtung auf der S-HK bzw. rechts vom Wind auf der N-HK. Ein wichtiges Beispiel für den Ekman-Transport findet auf beiden Seiten des Äquators statt, wo die östlichen Passatwinde in der südlichen Hemisphäre eine Wasserbewegung nach Süden (d.h. 90° links von der Windrichtung) und in der nördlichen Hemisphäre eine Wasserbewegung nach Norden (d.h. 90° rechts von der Windrichtung) verursachen. Das Ergebnis ist, dass das Wasser auf beiden Seiten vom Äquator wegfließt. Um diese durch den Ekman-Transport verursachte Oberflächendivergenz auszugleichen, wird kühles Wasser aus dem Untergrund emporgezogen, ein Vorgang, der als "Upwelling" bezeichnet wird. Am Äquator direkt gibt es keine Corioliskraft, und das Oberflächenwasser fließt in der gleichen Richtung wie der Wind.
Unter der Voraussetzung eines Gleichgewichtes von Corioliskraft und interner vertikaler Reibung entwickelt sich unter Einwirkung des Windes der erstmals 1905 vom schwedischen Ozeanographen V.W. Ekman beschriebene Ekmanstrom.
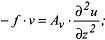
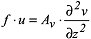
Die zugrundeliegenden Gleichungen haben für die West-Ost- bzw. Süd-Nord-Komponente der Bewegungsgleichung die Form:
z = vertikale Koordinate, f = Coriolisparameter, u, v = Strömungsgeschwindigkeit in West-Ost- und Süd-Nord-Richtung, Av = vertikaler Austauschkoeffizient.
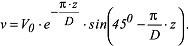
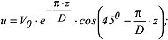
Dabei ist V0 die durch den Wind erzeugte Strömungsgeschwindigkeit direkt an der Meeresoberfläche und D die Ekmantiefe, die Tiefe, ab der der Ekmanstrom zu vernachlässigen ist. Aus dieser Lösung folgt, daß die Strömungsgeschwindigkeit exponentiell mit der Tiefe abnimmt. Die Strömungsrichtung ist auf der Nord- bzw. Süd-Hemisphäre um 45° nach rechts bzw. links von der Windrichtung abgelenkt. Mit zunehmender Tiefe dreht die Strömung weiter nach rechts (links). Man spricht hier auch von der Ekman-Spirale. Drehwinkel und Tiefenzunahme hängen linear zusammen. Sowohl die Geschwindigkeitsabnahme als auch die Änderung des Drehwinkels sind von der geographischen Breite und dem Austauschkoeffizienten abhängig. Der Ekmanstrom erstreckt sich per Definition über die Ekman-Schicht. Wird er über diese Schicht integriert, ergibt sich der sogenannte Ekman-Transport, der 90° nach rechts bzw. links zur Windrichtung gerichtet ist. Der Ekmantransport ist Ursache für diverse ozeanische Auf- und Abtriebsphänomene, z.B. im Bereich von Küsten.
Das Christkind oder auch nur die spanische Bezeichnung für 'der Knabe'
Bronzestatue des Bildhauers Ubbo Enninga an der Hafenmole von Radolfzell, Bodensee
El Niño - Bronzestatue des Bildhauers Ubbo Enninga (1997)
Ubbo Enninga lebt in Stuttgart. Er stellt mit seinen Werken den Menschen ins Zentrum seines Schaffens. So auch bei dem sehr bemerkenswerten Kunstwerk "El Niño". Die Statue prägt das Bild der Radolfzeller Uferpromenade seit 1997.
Angeregt vom gleichnamigen Naturphänomen soll die Skulptur als ‚stehende Welle´ kosmische Energien bündeln und ein Bewusstsein für menschliche, lunare aber auch solare Kräfte schaffen und die mit ihnen in Beziehung stehenden Elemente und Wirkungen auf der Erde harmonisieren.
Foto: privat
Ursprünglich die Bezeichnung für die gelegentlich bis relativ regelhaft auftretende mäßige Erwärmung der normalerweise kühlen Küstengewässer vor Ecuador und Nordperu durch eine südwärtige Wasserströmung (la corriente del niño) sowie die begleitende Witterung. Es handelt sich um Warmwassermassen des äquatorialen Gegenstroms (engl. equatorial countercurrent), die im Zuge des Jahreszeitenwechsels um die Weihnachtszeit für wenige Wochen (bis etwa Februar/März) an die südamerikanische Westküste bis ca 4 °S vordringen und das kühle Oberflächenwasser verdrängen können. Die Sonnenstrahlen besitzen um diese Zeit einen steilen Einfallswinkel (südhemisphärischer Sommer) und damit eine starke Strahlungsintensität. Die gewisse Regelmäßigkeit der Erscheinung mit ihrer begleitenden Störung der lokalen Fisch- und Vogelpopulationen ließ die peruanischen Fischer vermutlich schon vor Jahrhunderten auf den Namen El Niño (Christkind) kommen. Sie markiert das Ende der normalen Fangsaison. Bei dieser saisonalen Erscheinung bleiben zwar einerseits die für die Fischindustrie wichtigen Anchovis aus, andererseits kommen mit dem warmen Wasser Haie, tropische Krabben, Schwert- und Thunfische als geschätzte weihnachtliche Abwechslung in die Reichweite der Fischer. Seehund- und Pinguin-Populationen entlang der Küste und auf den Galapagos-Inseln können dramatisch schrumpfen. Seevögel migrieren westwärts, um ihrer Anchoveta-Beute zu folgen und können gelegentlich in großen Zahlen umkommen. Von Caviedes (2005) befragte peruanische Historiker konnten als erste Erwähnung des Begriffs 'El Niño' in halbwegs wissenschaftlichen Arbeiten die Jahreszahlen 1891, 1892 und 1894 benennen. Es ging dabei um Berichte über die katastrophalen Auswirkungen des besonders starken El Niño-Ereignisses von 1891. Zebiak et al. (2014) vermerken, dass es den peruanischen Fischern mindestens seit dem 16. Jh. bewusst war, dass periodisch auftretende warme Wassermassen ihre Anchovis-Fänge beeinträchtigten. Etwa zur gleichen Zeit bemerkten peruanische Bauern, dass das wärmere Meerwasser gleichzeitig mit erhöhten Niederschlägen auftrat. Zur Begriffsgeschichte sind auch Auszüge aus Philanders Buch El Niño, La Niña, and the Southern Oscillation lesenswert.
Austauschbar mit dem Begriff ENSO verwendete Bezeichnung, die Veränderungen der Wechselwirkungen zwischen Meer und Atmosphäre entlang des äquatorialen Pazifik in seiner ganzen Breite beschreiben.
Heute korrekterweise die Bezeichnung für ein ENSO-Warmereignis, das eine - im Vergleich zu den Neutralbedingungen zwischen El Niño und La Niña - "anomale" ozeanographische Erscheinung mit wesentlichen meteorologischen Auswirkungen und Abhängigkeiten beschreibt, die in mehr oder weniger regelmäßigen Abständen (etwa alle 3-8 Jahre, also quasi-periodisch) im südpazifischen Raum zwischen der Westküste Südamerikas und Indonesien bzw. Australien auftritt. El Niño ist dynamisch verknüpft mit der Southern Oscillation, einer Luftdruckschaukel über dem tropischen Pazifik. Zur Unterscheidung von dem seit wenigen Jahren beschriebenen und gehäuft auftretenden El Niño Modoki, wird der traditionelle (canonical) El Niño auch als Eastern Pacific (EP) El Niño bezeichnet.
Michael Glantz, Klimatologe an der University of Colorado hat in einem Konferenzbericht einige der bedeutenden El Niño-Ereignisse mit einprägsamen Bezeichnungen versehen und folgende Liste erstellt:
1877-78: El Niño
1891: The downwelling phenomenon was first named “El Niño” at a conference in Lima, Peru. By 1982, this event was being described as the previous ‘biggest El Niño’.
1957-58: “The International Geophysical Year (IGY) El Niño” Project to investigate coastal upwelling processes off the west coast of the US and Peru.
1972-73: “The El Niño of the Scientists” The collapse of Peruvian fisheries, and the identification of the ENSO teleconnections generated scientific concern.
1982-83: “The El Niño of the Governments” This El Niño was labeled the “El Niño of the Century” and generated awareness of El Niño as an economic threat to many governments, funding for monitoring increased.
1997-98: “The El Niño of the People” People around the globe became aware of the El Niño phenomenon.
2015-16: “The El Niño of Response and Preparedness” Naming this event a “Godzilla” El Niño did a disservice to the seriousness of forecasting and raised expectations of potential impacts that fell short of reality.
Zu den weiteren Merkmalen eines El Niño gehören folgende Erscheinungen:
Nach dem operationellen Index (Oceanic Niño Index) des Climate Prediction Centers der NOAA das Erreichen oder Überschreiten einer Anomalie von +0,5 °C, ermittelt für die durchschnittliche Meeresoberflächentemperatur von 3 aufeinanderfolgen Monaten im östlichen Teil des zentralen Pazifiks (zwischen 5°N-5°S und 170°W-120°W), d.h. in der Niño 3.4-Region. Für einen voll entwickelten El Niño muss dieser Schwellenwert mindestens während einer Zeit von 5 aufeinanderfolgenden 3-Monats-Perioden erreicht oder überschritten werden.
Beachten Sie die seit Februar 2026 übliche Praxis der Verwendung des Relative Oceanic Niño Index (RONI). Dabei bleiben Schwellenwerte und Definitionen unverändert – lediglich die Messung wird verbessert.
Regionale Erwärmung einer tiefen Wasserschicht im östlichen Pazifik als Folge einer südgerichteten warmen Oberflächenströmung, die ursprünglich einer W-O gerichteten Erwärmung des tropischen Pazifik-Beckens entstammt. Die Meeresoberflächentemperaturen liegen dabei 1,5 °C - 2,5 °C über dem Durchschnitt und die Temperaturen im Wasserkörper darunter typischerweise bei 3 °C bis 6 °C, gemessen im Bereich der Thermokline (Link zu El Niño and La Niña Ocean Temperature Patterns).
Absenkung der Thermokline im östlichen tropischen Pazifik in Tiefen, die typischerweise bei 150 m - 175 m liegen; Verlagerung des Niederschlags vom westlichen in den östlichen Pazifik.
Veränderungen des Meeresspiegels (Erhöhung im Bereich der Warmwassermassen wegen der geringeren Dichte und des niederschlagsbedingt geringeren Salzgehaltes).
Schwächung der SO-Passate, vor allem in der Osthälfte des äquatorialen Pazifik.
Westwinde in den unteren Schichten der Atmosphäre über dem westlichen äquatorialen Pazifik.
In der Hochatmosphäre überdurchschnittlich hoher Luftdruck über dem subtropischen Ostpazifik beider Hemisphären, er flankiert das Gebiet mit verstärkter äquatorialer Konvektion über dem zentralöstlichen äquatorialen Pazifik.
Äquatorwärtige Verlagerung und ostwärtige Ausdehnung des mittleren Winter-Jetstreams entlang der polwärtigen Flanken dieser anomalen Hochdruckzellen (über der Osthälfte des Pazifik) in beiden Hemisphären.
Reduzierte konvektive Niederschläge und überdurchschnittlich hoher Luftdruck über Indonesien, dem äqutorialen Westpazifik und Nordaustralien
Verstärkte westliche Höhenwinde von August bis Oktober führen zu überdurchschnittlich starker vertikaler Windscherung und reduzierter Hurrikan-Aktivität über dem tropischen Nordatlantik und unterdurchschnittlicher vertikaler Windscherung und intensivierter Hurrikan-Aktivität über dem Ostteil des tropischen Nordpazifik (Links zu Eastern Pacific Hurricane Season Outlook, Atlantic Hurricane Season Outlook).
Erhöhte globale Durchschnittstemperatur um ca. 0,1 bis 0,2 °C, da die mit El Niño verbundenen Änderungen der Windsysteme zu einem Transfer von Wärme aus den Ozeanen in die Atmosphäre führen.
Die Liste spiegelt die Vielfalt der Begriffsinhalte wider, gleichzeitig wird deutlich, dass sie alle keinen quantitativen Charakter haben. Solche Abgrenzungen nach quantitativen Kriterien liegen seit einigen Jahren von verschiedenen Organisationen vor: Multivariater ENSO Index (MEI), Southern Oscillation Index (SOI), JMA-Index und Oceanic Niño Index (ONI).
Die unterschiedlichen Indizes gehen im Detail von unterschiedlichen Definitionen aus, wann konkret ein El Niño-Ereignis vorliegt. Im Herbst 2003 haben sich amerikanische Wissenschaftler und Regierungs-Experten auf den Oceanic Niño Index (ONI) als einheitlichen Messindex und operationelle Definitionsgrundlage für El Niño geeinigt. Dieser basiert auf der Meeresoberflächen-Temperatur in einem bestimmten Gebiet des Pazifiks. Ein El Niño ist dann gegeben, wenn der Index über mindestens fünf Monate eine positive Abweichung von über 0,5 °C aufweist.
Generell muss jede El Niño-Definition dynamisch gesehen werden und dem aktuellen Wissensstand angepasst sein (vgl. die jüngste Beschreibung eines El Niño Modoki).
Monatliche Anomalie des Meeresspiegels (mm)
in Santa Cruz, Ecuador (blaue Linie)und in Pohnpei, Föderierte Staaten von Mikronesien (rote Linie)
während des El Niño 1991-92
Quelle: University of Hawaii Sea Level Center in "The 1997-1998 El Niño Event: A Scientific and Technical Retrospective" (WMO)
El Niño - Teilphänomen in einem gekoppelten System
Um die Geschehnisse während eines El Niño-Ereignisses und der anderen beiden Phasen des ENSO-Zyklus zu verstehen, muss man sich bewusst machen, dass der äquatoriale Pazifik als gekoppeltes System agiert, da der Zustand des Ozeans und der Atmosphäre voneinander abhängen. Wenn die Bedingungen des Ozeans sich ändern, reagiert die Atmosphäre und umgekehrt. Die Hauptindikatoren dieser Änderungen sind der Luftdruck und die Meerestemperaturen.
Störungen im Ozean, die Veränderungen der wesentlichen Temperaturmuster verursachen, beeinflussen die Winde in diesem gekoppelten System, was zu einer positiven Rückkopplungsschleife führen kann. Während eines El Niño beginnt diese Schleife oft mit abgeschwächten oder manchmal sogar mit in entgegengesetzter Richtung wehenden Passaten. Die Ursache dieser geschwächten Winde ist nicht immer offensichtlich, aber in Abhängigkeit von ihrer Stärke und Dauer können sie nach einer gängigen Hypothese Kelvin-Wellen auslösen. Diese Wellen befinden sich 100 - 200 m unter der Meeresoberfläche und sind hunderte von Kilometern breit. Auf ihrem ostwärtigen Weg durch den äquatorialen Pazifik führen sie zu einer Erwärmung des Wassers. Manchmal gelangt dieses warme Wasser an die Oberfläche und bildet dort eine Warmwasserzunge mit um 1 bis 3 °C erhöhten Temperaturen, welche sich über den äquatorialen Pazifik erstreckt. Die wärmeren Wassermassen bewirken eine Absenkung des Luftdrucks über dem zentralen und östlichen Pazifik und schwächen dadurch den Luftdruckgradienten, der normalerweise die Passate von Tahiti nach Darwin treiben würde. Die schwächeren Passate reduzieren die Menge an Oberflächenwasser, die nach Westen getrieben wird. Das Oberflächenwasser bleibt warm und betont den geschwächten Druckgradienten.
El Niño-Bedingungen im äquatorialen Pazifik
Während eines El Niño-Ereignisses schwächen sich die Passatwinde ab oder kehren sich sogar um und erlauben es dem Gebiet des anomal warmen Wassers sich in den zentralen und östlichen Teil des tropischen Pazifiks zu verlagern.
Diese wärmeren als üblichen Ozeantemperaturen sind verbunden mit einer Absenkung der Thermokline vom zentralen bis zum östlichen Pazifik. Auch trägt ein schwächeres Upwelling von kühlerem Wasser aus der Tiefe zu höheren Meeresoberflächentemperaturen bei.
Zum Vergleich der Pazifik während der Neutralphase
Im neutralen Zustand (weder El Niño noch La Niña) wehen die Passatwinde von Ost nach West über die Oberfläche des tropischen Pazifiks, bringen warme, feuchte Luft und wärmeres Oberflächenwasser in Richtung des westlichen Pazifiks und halten den zentralen Pazifik relativ kühl. Die Thermokline ist im Westen tiefer als im Osten.
Warme Meeresoberflächentemperaturen im westlichen Pazifik pumpen Wärme und Feuchtigkeit in die darüber liegende Atmosphäre. In einem Prozess, der als atmosphärische Konvektion bekannt ist, steigt diese warme Luft hoch in die Atmosphäre auf und verursacht, wenn die Luft feucht genug ist, aufsteigende Cumulonimbuswolken und Regen. Diese nun trockenere Luft reist dann nach Osten, bevor sie über den kühleren östlichen tropischen Pazifik absteigt. Das Muster der Luft, die im Westen aufsteigt und im Osten fällt, wobei sich die Luft an der Oberfläche westwärts bewegt, wird als Walker-Zirkulation bezeichnet.
Ein El Niño-Ereignis dauert etwa zwölf bis achtzehn Monate und hat seinen Höhepunkt etwa zwischen Dezember und Juni, nach anderen Angaben bis April. Allerdings gab es - definitionsabhängig - vor einigen Jahren eine Ausnahme: Ein Ereignis dauerte von Mitte 1990 bis Mitte 1995. Der Niño von 1997/98 war von deutlich kürzerer Dauer, wird aber von Experten der NOAA wegen seiner hohen Energieumsätze, seines frühen Beginns und seines schnellen Auf- und Abbaus als das Wetterereignis des Jahrhunderts bezeichnet.
Der Grund für die typischerweise besondere Ausprägung sowohl von El Niño wie auch von seinem Gegenpart La Niña während der Zeit von Dezember bis April liegt darin, dass zu dieser Zeit die Meeresoberflächentemperaturen im äquatorialen Pazifik gewöhnlich am höchsten sind. Folglich kann eine El Niño-bedingte leichte Erwärmung des Wassers zu einer bedeutsamen Umverteilung der tropischen Konvektionsniederschläge führen, wohingegen eine leichte, La Niña-bedingte Abkühlung die tropische Konvektion auf Indonesien beschränken kann.
Die auf El Niño und La Niña zurückzuführenden Meeresoberflächentemperaturen und die Anomalien der tropischen Niederschläge wirken sich auch auf die Windmuster aus, die ihrerseits die Anomalien der Meeresoberflächentemperaturen weiter verstärken. Die Kopplung zwischen Ozean und Atmosphäre ist - es sei wiederholt - ein entscheidender Aspekt des ENSO-Phänomens.
In einem normalen und typischen von Dezember bis April reichenden Zeitabschnitt erreicht der pazifische Warmwasserkörper (Pacific Warm Pool) seine größte Ausdehnung, die Wassertemperaturen im zentralen und im zentral-östlichen Bereich des äquatorialen Pazifiks erreichen ihre höchsten Werte und die tropische Konvektion erstreckt sich von Indonesien bis zur Datumsgrenze.
Während eines El Niño-Ereignisses dehnt sich während Monate Dezember bis April der pazifische Warmwasserkörper und das damit verbundene Gebiet mit hochreichender tropischer Konvektion deutlich über die Datumsgrenze nach Osten aus, und die tropischen Passate aus dem Osten sind dann am schwächsten.
Während eines La Niña-Ereignisses sind der pazifische Warmwasserkörper und die hochreichende tropische Konvektion in den gleichen Monaten auf ein Gebiet beschränkt, das deutlich westlich der Datumsgrenze lieg, und die tropischen Passate aus dem Osten sind dann am stärksten.
Verläufe von extremen und mittelstarken El Niños im jeweiligen Vergleich
Sehr starke (links) und mittlere El Niño-Ereignisse (rechts) im Vergleich zur aktuellen Entwicklung (rote Linie).
Der MEI-Index (Multivariater El Niño Index) berechnet sich aus dem Bodendruck, den ost-west- und nord-süd-Komponenten des Bodenwindes, der Meeresoberflächentemperatur, der Lufttemperatur auf Meereshöhe und dem Bewölkungsgrad im äquatorialen Pazifik. Quellen: Daten: ESRL, NOAA / Grafik: MeteoSchweiz
Einjährige und zweijährige El Niño-Ereignisse
Im Vergleich zum gut dokumentierten und häufigen Auftreten von mehrjährigen La Niña-Ereignissen ist der zweijährige El Niño weniger häufig und wurde bisher nicht gut untersucht. Beide stellen eine Diskrepanz zum zyklischen Verhalten der El Niño-Southern Oscillation dar. Im Zeitraum 1950-2021 halten 75 % der El Niño-Ereignisse ein Jahr lang an, und 25 % von ihnen dauern zwei Jahre. Sowohl El Niños vom zentral- als auch vom ostpazifischen Typ treten in den ein- und zweijährigen El Niños mit unterschiedlicher Stärke auf. Im Durchschnitt besteht kein Zusammenhang zwischen dem Anfangszeitpunkt und der Dauer eines El Niño-Ereignisses. Im Vergleich zu den einjährigen El Niño ist das gemittelte Warmwasservolumen (WWV) in der Spitze größer und nimmt bei den zweijährigen El Niños langsamer ab, was darauf hindeutet, dass ein anhaltend aufgeladener Wärmezustand des äquatorialen Pazifiks eine Voraussetzung für das Entstehen eines zweijährigen El Niños ist. Der schnellere Rückgang der WWV bei den einjährigen El Niños hängt mit der phasengleichen Abnahme ihrer intraseasonal-interseasonalen und interannualen Komponenten zusammen, während der langsamere Rückgang der WWV bei den zweijährigen El Niños durch die interannuale Komponente bestimmt wird. Darüber hinaus können der einjährige und der zweijährige El Niño unterschiedliche Auswirkungen auf das regionale Klima haben. (Gao et al. 2022)
Mehrjährige El-Niño-Ereignisse führen weltweit zu schweren und anhaltenden Überschwemmungen und Dürren mit erheblichen sozioökonomischen Auswirkungen, aber die Ursachen für ihr lang anhaltendes Verhalten sind noch nicht vollständig geklärt.
Eine neuere Hypothese geht von einem wechselseitigen Rückkopplungsmechanismus zwischen den Tropen und den Außertropen aus. Danach ist die mit der Nordpazifischen Oszillation (NPO) verbundene außertropische atmosphärische Variabilität eine wichtige Quelle für mehrjährige El-Niño-Ereignisse. Die NPO kann während des Nordwinters im darauffolgenden Winter einen zentralpazifischen El Niño auslösen, der atmosphärische Telekonnektionen zu den Extratropen anregt, die die NPO-Variabilität wieder verstärken und dann im darauffolgenden Winter ein weiteres El Niño-Ereignis auslösen, was schließlich zu anhaltenden El Niño-ähnlichen Zuständen führt. (Ding et al. 2022)
Pazifikregion - El Niño-Durchschnitt der saisonalen Niederschläge im Vergleich zum langfristigen saisonalen Durchschnitt für 1979-2003, absolut und relativ
Sep-Oct-Nov | Dec-Jan-Feb
Die nebenstehenden Karten zeigen Niederschlagsmuster für Sep-Okt-Nov (Frühling auf der Südhalbkugel) und für Dez-Jan-Feb (Winter auf der Südhalbkugel), die aus einer kombinierten Analyse der Niederschläge von 1979 bis 2003 generiert wurden.
Die obere Reihe zeigt den durchschnittlichen täglichen Niederschlag, der für den gegebenen Zeitraum und die ENSO-Bedingungen vorherrscht. Dunklere Farben zeigen mehr Regen an. Die untere Zeile zeigt, wie die Werte in der obigen Karte im Vergleich zum Gesamtdurchschnitt für diese Jahreszeit aussehen. Blaue Farben kennzeichnen Gebiete, die unter den oben genannten ENSO-Bedingungen (siehe Titel) mehr als den durchschnittlichen Niederschlag erhalten. Braune Farben kennzeichnen Gebiete, die weniger Regen erhalten. Quelle: UNOCHA
El Niño - Entwicklung
Die folgenden Grafiken (Hovmöller-Diagramme) illustrieren die modellhafte Entwicklung eines El Niño-Ereignisses.
Jede Grafik ist ein Diagramm, bei dem entlang der y-Achse die Zeit und entlang der x-Achse die geographische Länge aufgetragen sind.
Dargestellt ist ein Gebiet im Pazifik nahe des Äquators (2° N - 2° S).
In jeder Grafik befindet sich Indonesien links und Südamerika rechts.
In jeder Grafik nimmt die Zeit nach unten zu, die Buchstaben A, M, J usw. stehen für April, Mai, Juni usw.
Die Grafiken zeigen Abweichungen von normalen Verhältnissen, in der linken Darstellung bezüglich der Ostwinde, in der mittleren bezüglich der Meeresoberflächentemperatur (SST) und in der rechten bezüglich der Tiefe der 20 °C-Isotherme.
Entwicklung von El Niño im tropischen Pazifik
In jedem Bild ist Indonesien auf der linken und Südamerika auf der rechten Seite.
Aktuelle Darstellungen finden Sie über die angegebene Quelle unten.
Die Intensität eines El Niño-Ereignisses kann zwischen schwach über mäßig bis stark oder außergewöhnlich variieren. Eine starke Ausprägung macht es wahrscheinlicher, dass die Klimaverhältnisse in weit vom Pazifikbecken entfernten Räumen beeinflusst werden, wohingegen schwache El Niño-Ereignisse sich vorwiegend in den Staaten des Pazifikrandes auswirken (siehe Kapitel 'Globale Auswirkungen)'. Empirisch haben sich weltweit folgende El Niño-Brennpunkte mit typischen Erscheinungen herausgeschält:
Es ist bekannt, dass beim Auftreten von El Niño-Bedingungen im tropischen Pazifik sich die Niederschlagsmuster in vielen Teilen der Erde verändern. Obwohl sie durchaus unterschiedliche Veränderungscharakteristiken von einem El Niño zum nächsten aufweisen, bleiben die stärksten Veränderungen doch ziemlich konsistent. Sie sind in der nebenstehenden Karte mit der Zeit ihres Auftretens eingetragen.
"The most reliable effects of El Niño are deficient rainfall over Indonesia and northern South America, and excess rainfall in southeastern South America, eastern equatorial Africa, and the southern US."
El Niño im aktuellen Sinne ist - mit Einschränkungen - vorhersagbar (s. Kap. Beobachtung und Vorhersage), da eine Verzögerung zwischen dem Phänomen selbst und seinen klimatischen Konsequenzen existiert. Die Vorhersagen für den El Niño von 1997/98 z.B. hatten eine hohe Treffergenauigkeit, auch hinsichtlich seiner Telekonnektionen (NOVAonline). Allerdings ergaben sich in der Rückschau einige Mängel und auch bei Vorhersagen in Folgejahren. Wegen der relativ guten Datenlage der jüngeren ENSO-Episoden wird El Niño für das Austesten von Modellen zur Klimavorhersage verwendet.
Bis heute treten Wissenschaftler mit immer neuen Vorhersagemethoden auf, deren Qualität und Überlegenheit gegenüber etablierten Methoden sie mit guten Ergebnissen bei Rückberechnungsverfahren (hindcasting) zu belegen suchen. Ein viel versprechender Ansatz, bei dem mit Hilfe moderner Methoden aus der Statistischen Physik Zusammenhänge im Messnetz untersucht und dabei verborgene Fernwirkungen aufgespürt werden, wurde 2013 von einer interdisziplinären, überwiegend deutschen Gruppe vorgestellt. Allerdings ist nicht sicher, ob diese Methode, die im Übrigen nur für Warmereignisse verwendbar ist, operationell eingesetzt wird.
Das Phänomen El Niño ist in vielen seiner Mechanismen gut verstanden. Unklar sind aber nach wie vor seine wirklichen Ursachen. Es besteht eine ausgesprochene Henne-Ei-Beziehung zwischen den Änderungen von Ozeantemperaturen einerseits und Änderungen der atmosphärischen Druckgradienten und Windsysteme andererseits. Beide treiben sich gegenseitig an, aber keine Seite ist eindeutig oder generell "der" Auslöser des El Niño. Sie interagieren und bilden den komplexen Vorgang ENSO.
Immerhin kann die Frage nach dem 'Warum' von El Niño damit beantwortet werden, dass es sich dabei um einen Standardmechanismus unseres Systems Erde handelt, mit dem es Wärmeüberschuss aus den Tropen in die Außertropen transportiert. Dies geschieht während eines Niños über die stärkeren Winterstürme, beispielsweise in Kalifornien und Chile.
El Niño - Existenz in vergangenen Klimaten
Instrumentenaufzeichnungen, die zur Identifikation von El Niño und La Niña in der Zeit vor der Mitte des 19. Jahrhunderts verwendet werden können, sind nur sehr beschränkt vorhanden. Dennoch ist es möglich, El Niño-Ereignisse aus der Vergangenheit zu identifizieren, und zwar mit Hilfe historischer Aufzeichnungen früher Entdecker und Siedler in jenen Pazifikrandgebieten, wo in heutiger Zeit El Niño das Wetter und Klima beeinflusst. Quinn et al. (1987) erstellten eine Chronologie von El Niño-Ereignissen, die bis zum Jahr 1525 zurückreicht, wobei sie historische Berichte über die Bedingungen in der Küstenregion und angrenzenden Gewässern im Nordwesten Südamerikas verwendeten. In ihrer Arbeit behaupten sie, dass Francisco Pizarros Eroberung des Inkareiches (1531–1532) mit einem El Niño-Ereignis zusammenfiel. Starke Regenfälle und angeschwollene Flüsse, Erscheinungen, die in Peru nur während El Niño-Jahren auftreten, verlangsamten Pizarros Vorrücken. Andererseits waren es aber die gleichen Niederschläge, die für eine reiche Vegetation sorgten und so genügend Futter für seine Pferde lieferten, welche neben der Schwertbewaffnung der wichtigste taktische Vorteil war, den sein kleines Soldaten-Kontingent gegenüber den Eingeborenen hatte.
Quinn (1992) erweiterte diese Chronologie noch weiter zurück bis ins Jahr 622 n.Chr. Dazu zog er die jährlichen Nil-Abflussmaxima heran, abgelesen an einem Nilometer bei Kairo, sowie diesbezügliche historische Informationen zu afrikanischen Dürren, Überschwemmungen, Seuchen und Hungersnöten. Sorgfältige Aufzeichnungen des Nil-Abflusses (Nilschwemme) wurden bekanntlich aufbewahrt, da sie Jahrtausende lang die Basis der ägyptischen Landwirtschaft waren. Die Abflussdaten geben Auskunft über deren jährliche Änderungen, die dann in Bezug gesetzt werden können mit den Regenmengen des Sommermonsuns über dem Hochland von Äthiopien. Diese Niederschläge und die Wassermengen des Nils, die sie speisen, fallen während El Niño-Jahren typischerweise geringer aus.
Es ist möglich, die Schwankungen des ENSO-Phänomens noch weiter in die Vergangenheit mit Klimarekonstruktion zurückzuverfolgen, indem man Proxy-Daten von Baumringen, Warvenproben aus Seesedimenten, Bohrkerne aus Gletschereis und Korallenproben aus dem tropischen Pazifik verwendet (siehe Kapitel 'Indikatoren'). Diese Proxys konservieren Jahr-zu-Jahr-Aufzeichnungen von klimabezogenen Umweltparametern wie Temperatur, Niederschlag oder Niederschlagsabfluss. Die relevante Klimainformation ist verschlüsselt in der chemischen und der Isotopenzusammensetzung von Korallenskeletten, dem Wassergehalt und den chemischen Eigenschaften von Eisbohrkernen, der Mächtigkeit und den Korngrößen von Sedimentschichten und der Breite und Dichte von Baumringen. Wenn diese Proxys mit Hilfe von modernen Instrumentenaufzeichnungen korrekt kalibriert werden, ermöglichen sie Untersuchungen von ENSO-abhängiger Klimavariabilität bis einige Jahrtausende zurück in die Vergangenheit (McPhaden 2003).
In einer 2016 veröffentlichten Studie zur Klimageschichte der vergangenen 2000 Jahre äußern Wissenschaftler (Nature Communications) die Hypothese, dass ENSO-Oszillationen für weltweite, Jahrhunderte andauernde Klimaschwankungen verantwortlich sein könnten. Beispielsweise korrespondieren eine nordhemisphärische Erwärmung und Dürren zwischen den Jahren 950 und 1250 (ca. Zeit des mittelalterlichen Klimaoptimums) mit einem El Niño-ähnlichen Zustand im Pazifik, der zwischen 1350 und 1900 (ca. Zeit der kleinen Eiszeit) zu einem La Niña-ähnlichen Muster wechselte. Die Wissenschaftler untersuchten Spurenelemente und stabile Isotope in Stalagmiten von der indonesischen Insel Flores zur Rekonstruktion vergangener Niederschläge und verglichen sie mit Niederschlagsreihen aus Ostasien und dem äquatorialen Zentral- und Ostpazifik.
Das Alter des El Niño-Phänomens und damit von ENSO insgesamt rechnet sich mindestens nach einigen Tausend Jahren. Wegen der tiefgreifenden Auswirkungen von ENSO auf Niederschlag und Temperatur in vielen Gebieten der Erde hinterließ das Phänomen seine Spuren in vielen Proxy-Datenreihen über vergangene Klimaverhältnisse. Zum Beispiel haben in Ecuador verstärkte Niederschläge und Überschwemmungen während El Niño-Ereignissen zu verstärkten Ablagerungen von See-Sedimenten geführt, die es Paläoklimatologen erlauben, aus ihnen Informationen über die Variabilität der ENSO-Aktivität zu entnehmen. Ein Warven-Bohrkern aus einem See in Ecuador wird so interpretiert, dass im frühen und mittleren Holozän (10.000 - 6.000 BP) ENSO nicht existierte (Rodbell et al. 1999; Moy et al. 2002; Federov und Philander 2000, 2001).
Hinweise auf ENSO-Aktivitäten geben auch die Sedimente von extremen Fluten und Schuttströmen aus der südperuanischen Wüste. Keefer et al. (2003) benutzen Ablagerungen von drei küstennahen Schwemmfächern, um eine Chronologie der extremen El Nino-Ereignisse zu erstellen. Die 14C-datierten Sedimente reichen bis 38,2 Tsd. J.v.h. zurück. Sie repräsentieren das LGM, LGT und das Holozän. Sie werden von mehreren Metern mächtigen Schuttstrommsedimenten aus Geröllen in einer Matrix aus Silt und Sand aufgebaut; sie bilden charakteristische Ablagerungen von Starkregenereignissen in einer extrem ariden Umgebung. (Heine 2019)
Das Fehlen von ENSO im frühen Holozän (oder ein beträchtlich schwächeres ENSO verglichen mit der heutigen Ausprägung) deckt sich mit Daten, die aus fossilen Korallen gewonnen wurden (Tudhope et al. 2001; Hughen et al. 1999). Unter Verwendung eines numerischen gekoppelten Modells mittlerer Komplexität (Zebiak und Cane 1987) kommen Clement et al. (2000) zu dem Schluss, dass die geschwächte ENSO während des frühen Holozäns mit unterschiedlichen Parametern der Erdumlaufbahn erklärt werden können. Von anderer Seite (Sun 2000) wird hingegen angeführt, das eine geringere vertikale Schichtung des oberen Ozeans für die geschwächten ENSO-Verhältnisse sein können. Er versucht damit auch die Befunde von Sandweiss et al. (1996) zu erklären, die vor der Küste Perus Warmwasser-Mollusken in Breiten gefunden haben, wo sie heute nicht auftreten. Sandweiss et al. schlossen daraus, das die Durchschnittstemperaturen im frühen Holozän wärmer waren und zu einem anhaltenden El Niño-Zustand führten. Diese Folgerung wurde allerdings von Clement et al. (2000) in Frage gestellt. Sie wiesen darauf hin, dass zu dieser Zeit die Kaltphase von ENSO (La Niña) ebenfalls schächer war und die Mollusken deshalb nicht denselben kalten Temperaturen ausgesetzt waren, wie es heute während La Niña der Fall wäre.
Somit bestehen weiterhin unterschiedliche Auffassungen bezügliche des mittleren Zustands von ENSO im frühen Holozän, wohingegen Einigkeit darüber herrscht, dass das Maß der ENSO-Aktivität im Holozän nicht konstant war und ist. Dies belegen z.B. auch die Korallen-Untersuchungen von Cobb et al. (2003), die eine beträchtliche Variabilität der ENSO-Aktivität für das vergangene Jahrtausend nahelegen.
Ob El Niño während der Kaltzeiten existierte, ist wahrscheinlich, aber noch umstritten, auch seine damalige Frequenz und Stärke. Immerhin legen z.B. die über 130.000 Jahre zurückreichenden Korallendaten aus Papua-Neuguinea von Tudhope et al. (2001) nahe, dass ENSO während der Kaltzeiten schwächer war als heute und während der Interglaziale mit den heutigen Bedingungen vergleichbar war. Allerdings weitere Datenreihen nötig, um diesen Befund zu bestätigen.
Es scheint angebracht, für die weit zurückliegenden und noch unzureichend erforschten Zeiten eher von El Niño-ähnlichen Phänomenen zu sprechen. Solche haben Forscher u.a. vom Bremer Max-Planck-Instituts für Marine Mikrobiologie durch die Analyse von molekularen Fossilien für das Eem-Interglazial vor 125.000 Jahren bestimmen können. Als Folge ungewöhnlich starker Regenfälle wurden damals Süßwasser-Kieselalgen (Diatomeen) aus Flüssen, sowie Blätter terrestrischer Herkunft und Reste von Blütenpflanzen aus der Atacama- Wüste in das Meer gespült. Die Forscher fanden die fossilen Moleküle (Biomarker) dieser Organismen in Bohrkernen des Ocean Drilling Program (ODP) vom Meeresboden vor der peruanischen Küste und konnten auch den Zeitpunkt der Ablagerung bestimmen.
Ein größerer Schritt in die Vergangenheit hinsichtlich des Alters von El Niño reicht bis ins Pliozän mit der Schließung des Isthmus von Panama, die eine Differenzierung der Wärme- und Zirkulationsverhältnisse in Atlantik und Pazifik mit sich brachte.
Nach Angaben von Wissenschaftlern um Michael Wara (2005) von der Universität von Kalifornien in Santa Cruz wurde während langer Phasen des Pliozäns der tropische Pazifik sogar dauerhaft von Klimaverhältnissen geprägt, wie sie gegenwärtig nur während so genannter El-Niño-Ereignisse in der Region auftreten. Danach herrschten vor 4,5 bis 3 Mill. Jahren weitgehend ausgeglichene, warme Temperaturverhältnisse im tropischen Pazifik mit einem nur geringen Gradienten von etwa 1,5 °C zwischen dem westlichen und dem östlichen Teilbereich. Auch lag die thermale Sprungschicht (Thermokline) vor der Küste Südamerikas wesentlich tiefer als während der meisten Jahre heutzutage. Es herrschte also nach ihrer Einschätzung ein permanenter El Niño, bzw. eine Abwesenheit von ENSO.
Dagegen zeigt sich in der gegenwärtigen Erdperiode außerhalb von so genannten El Niño-Jahren ein viel stärkerer Temperaturkontrast von etwa 5 °C zwischen dem eher kalten Ost- und dem warmen Westpazifik, der vor allem durch kaltes Auftriebswasser vor Südamerika verursacht wird. Die Belege für diese Angaben finden sich in den Untersuchungen von ungefähr 400 Sedimentproben von den Küsten Indonesiens und der Galapagos-Inseln. Diese Bohrkerne beinhalten die Schalen von Foraminiferen - marine Einzeller -, die im Oberflächenwasser der Meere leben. In Abhängigkeit von der jeweiligen Wassertemperatur bilden sich in ihren Schalen unterschiedliche Verhältnisse von Magnesium zu Kalzium aus, sodass sich daraus die Temperaturkurve vergangener Zeiten ablesen lässt. Die Rekonstruktion der Tiefenlage der thermalen Sprungschicht im Ostpazifik basiert zudem auf Messungen unterschiedlicher Sauerstoffisotopengehalte in den ebenfalls sedimentierten Schalen einer oberflächennah und einer in tieferen Gewässern schwimmenden Foraminifera.
Noch weiter zurück geht eine Gruppe internationaler Wissenschaftler, die 50 Millionen Jahre alte Muschelschalen und Holz aus der damals eisfreien Antarktis untersucht hat. In den Wachstumsringen dieser Fossilien finden sich Hinweise darauf, dass es auch in der letzten großen Warmphase der Erdgeschichte, dem Eozän, einen Klimarhythmus über dem Südpazifik gab, der dem heutigen El Niño-La Niña-Wechselspiel ähnelte. Die Befunde legen den Schluss nahe, dass auch beim aktuellen Klimawandel die höheren Temperaturen nicht notwendigerweise zu einem dauerhaften El Niño führen müssen, wie manche Wissenschaftler annehmen.
Untersuchungen britischer Wissenschaftler an gebändertem Schiefer (kalifornischer Marca Shale) aus dem Maastrichtium der Oberkreide mit Wechsellagerungen von terrigenen und Diatomeen enthaltenden Schichtpaaren belegen auch für diese Zeit mit ihren insgesamt milden Temperaturen (keine polare Vereisung) eine zwischenjährliche Klimavariabilität, die der heutigen ENSO-Variabilität ähnelt. Insofern sprechen auch diese Befunde gegen die Hypothese von einem Dauer-El Niño in einem künftigen Warmklima.
Cucullaea raea-Schale aus dem Eozän
Größenvergleich: Eine Cucullaea raea-Schale aus dem Eozän neben einer Münze. Muscheln bilden wie Bäume Wachstumsringe. Deren Breite können Aufschluss über Wachstumsrhythmen geben.
Schnitt durch die Schale einer Cucullaea raea, der die Wachstumsringe zeigt. Im Bildausschnitt markiert der schwarze Pfeil die Wachstumsspanne eines Jahres. Die weißen Pfeile zeigen auf dunkle Bänder, die Phasen sehr langsamen Wachstums darstellen - in diesem Fall aus der Sommerzeit.
Ob Muscheln wachsen, hängt vom Futteraufkommen und der Wärme ab. Das bedeutet, der damalige Wechsel von “guten” und “schlechten” Umweltbedingungen spiegelt sich noch heute in der Breite der Wachstumsringe wieder. Dieser Wechsel erfolgte nach den Untersuchungen im gleichen 3-bis-6-Jahres-Rhythmus, wie man ihn vom heutigen ENSO kennt.
Bezeichnung für einen neuen El Niño-Typ im tropischen Pazifik, der sich vom traditionell-klassischen El Niño in Bezug auf seine räumlichen und zeitlichen Charakteristika, wie auch hinsichtlich seiner Telekonnektionsmuster unterscheidet. Der Name El Niño Modoki ist vom japanischen Wort Modoki abgeleitet, es steht für 'ähnlich, aber 'verschieden'.
Der traditionelle oder kanonische (mustergültige) El Niño ist auf einen zungenförmigen Bereich entlang des Äquators beschränkt, mit einem Zentrum warmer Anomalien von Meeresoberflächentemperaturen (SSTA) im zentralen und östlichen Pazifik, wohingegen El Niño Modoki ein meridional breiteres Hufeisenmuster mit einem Zentrum warmer SSTA im zentralen tropischen Pazifik aufweist, das von kühlen SSTA im westlichen und östlichen Pazifik flankiert wird. Zur besseren Unterscheidung wird auch die Einführung neuer oder modifizierter Indizes vorgeschlagen.
Der traditionelle El Niño besitzt als wesentliches Merkmal Temperaturanomalien im Ostpazifik. In den vergangenen zwei Jahrzehnten wurden jedoch nicht-traditionelle El Niños beobachtet, bei denen der übliche von Temperaturanomalien betroffene Raum nicht höheren Temperaturen ausgesetzt ist, sondern bei dem die Anomalie den zentralen Pazifik betrifft. Der Lage entsprechend gibt es auch die Bezeichnung "Central Pacific (CP) El Niño" oder auch "Dateline El Niño" (dt. Datumsgrenzen-El Niño), da die Anomalie nahe der Datumsgrenze einsetzt. Eine weitere Bezeichnung ist “Warm Pool (WP) El Niño".
Gleichzeitig wurden für den bisherigen, 'klassischen' El Niño zur besseren Unterscheidung Begriffe eingeführt wie "Canonical El Niño" (etwa: Standard-El Niño), "Eastern Pacific El Niño" (EP-El Niño) oder "Cold Tongue El Niño" (CT-El Niño). (L'Heureux, M.)
Der erste El Niño, der im zentralen Pazifik entstand und von dort ostwärts wanderte, wurde im Jahr 1986 dokumentiert. El Niño Modoki-Ereignisse traten in folgenden Jahren auf: 1991-92, 1994-95, 2002-03, 2004-05, 2009-10. Der letztgenannte war gleichzeitig der bislang stärkste.
Die angenommene Verbindung zwischen globaler Erwärmung und einer zunehmenden Zahl von El Niño Modoki, sowie einer stärkeren Intensität muss durch längere Zeitreihen und die Untersuchung vergangener El Niño-Episoden belegt werden. Die bereits beobachteten Veränderungen des El-Niño-Musters könnten auch auf einer natürlichen Schwankung mit einem Zehn- bis Hundertjahresturnus beruhen. „El Niño Modoki“ könnte demnach in vielleicht 30 Jahren wieder verschwunden sein.
El Niño-Modoki unterscheidet sich vom Ostpazifik-El Niño sowohl hinsichtlich des Gebiets mit den stärksten SST-Anomalien, als auch bei den Telekonnektionen zwischen Tropen und Mittelbreiten. Ferner führt der El Niño-Modoki zu häufigerem Landübertritt (landfall) der atlantischen Hurrikane und zu deren häufigerem Auftreten. Generell ist die Erwärmung des zentralen Pazifik mit diesen beiden Effekten entlang der Golfküste der USA und Mittelamerikas verknüpft.
Umstritten ist die Vorhersageschwierigkeit eines El Niño-Modoki-Ereignisses gegenüber einem klassischen El Niño (Duan, W. 2018). Immerhin könnte u. a. die langfristige Wirbelsturmvorhersage von einer soliden Vorhersage profitieren.
ENSO-Modi
a) Ein El Niño-Ereignis liegt vor, wenn die östlichen Winde schach sind; manchmal herrschen im W West-winde vor. Gleichzeitig bestehen anomal warme SST im Ostpazifik, verbunden mit Veränderungen der Thermokline und der atmosphärischen Zirkulation, die dem W Trockenheit und dem O Feuchtigkeit bringen.
(b) Ein El Niño Modoki-Ereignis ist eine von (a) unterschiedliche anomale Erscheinung. Die wärmsten SST treten im zentralen Pazifik auf, flankiert von kälteren Wassertemperaturen im O und W und begleitet von entsprechender atmosphärischer Konvektion.
(c), (d) stellen die entgegengesetzten (La Niña) Phasen von El Niño bzw. El Niño Modoki dar.
Es wird angenommen, dass die Zunahme von Modoki-Bedingungen auf die anthropogen bedingte Klimaerwärmung zurückzuführen ist, und dass diese Ereignisse im zentralen Pazifik unter diesen Bedingungen vermehrt auftritt.
Noch bestehen Zweifel über die Sinnhaftigkeit der Typisierung zweier unterschiedlicher El Niño-Varianten: "... central and eastern Pacific sea surface temperature (SST) anomalies appear mechanistically separable in terms of local and remote forcing, their frequent overlap precludes robust classifications." (Kristopher B. Karnauskas, 2013)
Das NOAA CPC und das IRI erklären in ihrer ENSO Diagnostics Discussion das Einsetzen von El Niño-Bedingungen (El Niño conditions), d.h. von Verhältnissen, die noch nicht einem voll entwickelten El Niño-Ereignis entsprechen, wenn folgende drei Kriterien erfüllt sind:
Abweichungen des Niño-3.4-Index von +0.5 °C oder mehr, bezogen auf einen einzelnen Monat
Die Atmosphäre im tropischen Pazifik sollte sich in Übereinstimmung mit den ozeanographischen El Niño-Bedingungen befinden. Insbesondere sollte nahe der Datumsgrenze verstärkt Niederschlag auftreten und geringere Niederschläge bei Indonesien. Ferner sollten die oberflächennahen Winde in Teilen des äquatorialen Pazifiks aus anomal westlichen Richtungen kommen.
Eine Vorhersage, nach welcher der Oceanic Niño Index (ONI) über mehrere 3-Monatsabschnitte (seasons) am Stück +0.5 °C oder mehr beträgt
Im Unterschied zu bloßen El Niño-Bedingungen definiert die NOAA mit ihrem offiziellen Index, dem Oceanic Niño Index (ONI), ein El Niño-Ereignis als die Abweichung der durchschnittlichen SST-Temperaturwerte dreier aufeinander folgender Monate von +0.5 °C und darüber in der Niño 3.4-Region. Die Anomalien beziehen sich auf dreißig Jahre umfassende Basisperioden, die alle 5 Jahre aktualisiert werden.
Zur Beobachtung und Vorhersage von ENSO-Ereignissen ist der tropische Pazifik in vier bzw. fünf El Niño-Regionen (Quadranten) gegliedert, in denen die Meeresoberflächentemperaturen erfasst werden. Die Messergebnisse liefern in jeweils unterschiedlichen ENSO-Stadien jeweils unterschiedlich aussagekräftige Informationen. Früher wurden nur die Meerwassererwärmungen in den Regionen 1 und 2 als El Niño-Ereignisse bezeichnet, wohingegen heute bereits die Erwärmung in den Quadranten 3 und 4 als solches gilt, d. h., wenn die Wassertemperaturen nur westlich der Galapagos-Inseln ansteigen. Die Erstellung von Listen mit El Niño-Ereignissen wird wegen dieser unterschiedlichen Abgrenzungen deutlich erschwert.
Man unterscheidet:
Niño 1 (80º-90ºW and 5º-10ºS), die Küstengewässer vor Peru; die Region, die sich zusammen mit der Region 2 typischerweise zuerst erwärmt, wenn sich ein El Niño-Ereignis entwickelt
Niño 2 (80º-90ºW and 0º-5ºS), die Gewässer zwischen den Galapagos-Inseln und der Küste von Ecuador
Niño 3 (5°N-5°S, 90°W-150°W), die Region des tropischen Pazifik, die die größte Variabilität der Meeresoberflächentemperaturen (SST) in El Niño-Zeitskalen aufweist
Niño 3.4 (5°N-5°S, 170°W-120W°), die Region, die eine große Variabilität auf El Niño-Zeitskalen aufweist, und die näher als die Region 3 an der Region liegt, wo Veränderungen in der lokalen Meeresoberflächentemperatur wichtig sind, um das große Niederschlagsgebiet, das typischerweise im Westpazifik liegt, zu verlagern
Niño 4 (5°N-5°S, 150°W-160°W), die Region wo Änderungen der SST zu Werten um 27,5 °C führen, Werte, die man als wichtige Schwelle zur Auslösung von Niederschlag ansieht.
Niño-Regionen im tropischen Pazifik
In diesen Regionen werden die SST, bzw. deren Abweichung vom langjährigen Mittel erhoben um Index-basiert El Niño und La Niña zu identifizieren und zu beobachten.
Diese Regionen wurden in den frühen 1980er Jahren definiert. Seither hat man aufgrund von fortgesetzter Forschung diese Regionen modifiziert. Die ursprünglichen Gebiete Niño 1 und Niño 2 sind inzwischen zur Region Niño 1+2 zusammengefasst. Eine neue Region wurde mit der Bezeichnung Niño 3.4 (120°-150°W und 5°N-5°S) eingeführt, da sie besser mit dem Southern Oscillation Index korreliert.
Der Grund für unterschiedliche Kriterien ein El Niño-Ereignis zu definieren, liegt in den variierenden Auswirkungen auf einzelne Länder. Beispielsweise benutzt Peru den Niño 1+2-Index, da dieser angibt, wann die warmen nährstoffarmen Wassermassen die kühlen nährstoffreichen Wassermassen ersetzen, die normalerweise über den Upwelling-Vorgang an die Oberfläche gelangen und die Primärproduktion unterhalten. Damit sind für die peruanische Fischerei wichtigen Sardellen-Populationen betroffen.
Um Aussagen über weiträumige globale Klimavariabilität zu gewinnen, wird im Allgemeinen Niño 3.4 herangezogen. Sie stellt das bevorzugte Gebiet für das Monitoring der Meeresoberflächentemperatur (SST) dar, denn die Variabilität der SST in dieser Region hat den stärksten Effekt auf die Verlagerung der Niederschlagsgebiete im westlichen Pazifik. Und ihrerseits verändert die Verlagerung der Niederschlagsgebiete vom westlichen in den zentralen Pazifik entscheidend die Position der erwärmten Gebiete, die einen großen Teil der atmosphärischen Zirkulation beeinflussen.
In der Niño 3.4-Region ist auf der einen Seite die Meerestemperatur noch hinreichend warm und andererseits die Anomalien der Temperatur relativ groß werden können. Beide Faktoren zusammen ermöglichen eine starke und zugleich globale Reaktion der Atmosphäre auf die Temperaturanomalien in dieser Region. Weiter im Westen wären die Temperaturanomalien zu klein, um eine starke Änderung der atmosphärischen Zirkulation hervorzurufen. Weiter im Osten wären die Temperaturanomalien sehr groß, das Wasser aber zu kalt, um eine globale Reaktion der Atmosphäre auszulösen.
Die zwei Grafiken verdeutlichen die Korrelation zwischen Meeresoberflächentemperatur (SST) und Southern Oscillation Index (SOI): Die obere Grafik gibt die Abweichung der SST vom Normalwert wider. Die untere Grafik zeigt den SOI für den gleichen Zeitraum. Wenn der Druck in Tahiti niedriger ist als im australischen Darwin, dann ist die SST in Niño 3.4 höher als normal und es besteht ein El Niño, ein Warmereignis des ENSO-Zyklus. Wenn umgekehrt der Druck in Tahiti höher ist als in Darwin, dann ist die SST in Niño 3.4 niedriger als normal und es besteht ein La Niña-Ereignis, die Kaltphase von ENSO. Erstaunlicherweise sind diese Änderungen der SST nicht besonders groß, höchstens plus bzw. minus 3 °C, im Allgemeinen viel weniger. Dennoch können diese geringen Änderungen große Auswirkungen auf die globalen Wettermuster haben.
In Analogie zu El Niño und La Niña ist El Padre die Bezeichnung für einen Dauer-El Niño, wie er erdgeschichtlich zuletzt im frühen Pliozän, d.h. 5 - 3 Mio Jahre v.h. bestand.
Wie der Isthmus von Panama für Eis in der Arktis sorgte
Das heutige Klimasystem wird von der Förderband-ähnlichen globalen Zirkulation des Ozeans beeinflusst. Kaltes, salziges Wasser sinkt, um das Förderband anzutreiben, und warme Oberflächenströmungen vervollständigen den Kreislauf.
Das Oberflächenwasser floss vor 10 Millionen Jahren vom Pazifik in den Atlantik über eine Ozeanpforte namens Zentralamerikanischer Seeweg, und beide Ozeane hatten den gleichen Salzgehalt.
Vor etwa 5 Millionen Jahren konvergierten die nordamerikanische, südamerikanische und karibische Platte. Das Aufsteigen des Isthmus von Panama schränkte den Wasseraustausch zwischen Atlantik und Pazifik ein, und ihre Salinitäten wichen voneinander ab. Der Isthmus leitete Wasser um, das einst durch den Seeweg floss. Der Golfstrom begann sich zu intensivieren.
Heute hinterlässt die Verdunstung im tropischen Atlantik und in der Karibik salzigeres Ozeanwasser und bringt Süßwasserdampf in die Atmosphäre. Passatwinde tragen den Wasserdampf westwärts über die tiefliegende Landenge und setzen durch Niederschläge Süßwasser in den Pazifik frei. Infolgedessen ist der Atlantik salziger als der Pazifik.
Zu dieser Zeit lagen die globalen Durchschnittstemperaturen deutlich höher als heute, obwohl die externen Faktoren, die das Klima bestimmen, im Wesentlichen mit den heutigen identisch waren. Im Pazifik war der Temperaturunterschied entlang des Äquators deutlich geringer als heute, d.h. die mittleren Meeresoberflächentemperaturen waren im Osten substantiell wärmer als heute, im Westen aber ähnlich hoch wie heute. Die Folge waren Auswirkungen, die denen des starken El Niño-Ereignisses von 1997/98 glichen.
Heute sieht man als entscheidende geologische Veränderung, die El Padre beendete, die Schließung der Meerenge von Panama. Zu Beginn des Pliozäns strömte zwischen Nord- und Südamerika noch Wasser aus dem Pazifik in den Atlantik und glich Salzunterschiede zwischen den Ozeanen aus, doch vor 4,2 Millionen Jahren hatte sich diese Passage (Central American Seaway) dann so weit verflacht, dass kaum noch Wasser durchkam (siehe auch: Panama: Isthmus that Changed the World, NASA).
Oberflächennahe Strömungen und Wassertemperaturen (SST) des äquatorialen Pazifik im Dezember 1995
"Neutrale" Bedingungen: Die Kaltwasserzunge ist gut ausgebildet und der äquatorial-pazifische Warmpool ist auf den Westen beschränkt (Pfeile). Die Oberflächenströmungen am Äquator sind nach W gerichtet.
Unter La Niña-Bedingungen wäre die Kaltwasserzunge noch stärker ausgebildet, unter El Niño-Bedingungen wäre sie stark abgeschwächt und der Warmpool weit nach Osten vorgedrungen.
Dadurch wurde das Wasser in der Karibik salziger. Als Folge verstärkte sich der Golfstrom im Atlantik und damit auch die thermohaline Zirkulation. Diese durch Salz- und Temperaturunterschiede angetriebene weltweite Umwälzung der Ozeane transportiert warmes, salzreiches Wasser aus den Tropen in hohe Breiten, wo es sich abkühlt und absinkt. Das Tiefenwasser quillt vor den Küsten der Kontinente wieder auf und kühlt die niedrigen Breiten. Bevor sich der Seeweg schloss, war die thermohaline Zirkulation so schwach, dass das kalte Tiefenwasser nirgendwo in die Nähe der Oberfläche kam. Die Kaltwasserzunge, die heute normalerweise vor Südamerika liegt, existierte damals noch nicht. Auch vor Kalifornien und Westafrika quoll kein kaltes Wasser auf.
Man nimmt an, dass sich vor 4,2 Millionen Jahren die Grenzschicht (Thermokline) zwischen dem kalten Tiefenwasser und dem warmen Oberflächenwasser vor Südamerika in flachere Bereiche verlagerte, weil die thermohaline Zirkulation in Schwung kam. Zudem verstärkte das vor ca. 3,3 Mio. Jahren einsetzende Auftreten erster Gletscher auf der Nordhalbkugel vermutlich die Passatzirkulation. Vor dem westlichen Südamerika bewirkten die SO-Passate ein Aufquellen von kaltem Tiefenwasser, was den heutigen Bedingungen entspricht. Der Temperaturunterschied von Luft und Oberflächenwasser zwischen Ost- und Westpazifik wurde größer, was die Passate weiter verstärkte und die Kaltwasserzunge vor Südamerika beständig werden ließ.
Die elektrische Leitfähigkeit von Meerwasser hängt von der Anzahl gelöster Ionen pro Volumeneinheit (Salinität) sowie der temperatur- und dichtebeeinflussten Beweglichkeit der Ionen ab. Die entsprechende physikalische Einheit ist mS/cm (milli-Siemens pro Zentimeter). Die Leitfähigkeit erfolgt in gleichem Maße wie eine Salinitätszunahme von 0,01, eine Temperaturzunahme von 0,01 °C, und eine Tiefenzunahme (d. h. Druckerhöhung) von 20 m.
Engl. Akronym für ENSO Longitude Index; ELI misst zonale Verschiebungen in der tiefen Konvektion des tropischen Pazifiks und berücksichtigt Veränderungen in der Hintergrund-SST (Sea Surface Temperature).
Da die mit der SST verbundene Nichtlinearität des Niederschlags durch Anomalien allein nicht gut erfasst wird, wurde dieser neue Index vorgeschlagen, der auf der Länge der tropischen Tiefenkonvektion von 5°N bis 5°S basiert, eben der ENSO Longitude Index. Mit diesem Index kann die Vielfalt von ENSO mit einer einzigen Zahl erfasst werden, die die Nichtlinearität der konvektiven Reaktion berücksichtigt.
Der ENSO Longitude Index (ELI) soll im Gegensatz zu herkömmlichen ENSO-Indizes in der Lage sein, die Hurrikanaktivität im Ostpazifik mit erheblichem Vorlauf vorherzusagen.
Pflanzen- und Tierarten, die weltweit nur in einem bestimmten, eng begrenzten Gebiet auftreten, bezeichnet man als endemisch. Endemische Arten können leicht durch Zerstörung ihres Lebensraums ausgelöscht werden.
Eine Sammlung von Modellsimulationen, die eine Klimaprognose oder Klimaprojektion kennzeichnet. Unterschiede in den Anfangsbedingungen und der Modellformulierung führen zu unterschiedlichen Entwicklungen der modellierten Systeme und können im Fall von Klimaprognosen Informationen zu Unsicherheiten aufgrund von Modellfehlern und Fehlern in den Anfangsbedingungen sowie im Fall von Klimaprojektionen Informationen zu Unsicherheiten aufgrund von Modellfehlern und intern generierter Klimavariabilität liefern.
Ein meteorologisches Ensemble besteht aus mehreren Wettervorhersagen und dient der Bestimmung der Vorhersageunsicherheit durch die Bewertung der Unterschiede zwischen den Vorhersagen im Ensemble. Aufgrund der chaotischen Natur der Atmosphäre können kleine Unterschiede im Anfangszustand einer Simulation zu großen Unterschieden in der Vorhersage führen. Bei der Entwicklung von Ensemblesystemen geht es darum, durch gezielte Veränderungen des mathematischen Wettermodells und des Anfangszustandes, mit dem ein Vorhersagelauf auf einem Supercomputer gestartet wird, ein realistisches Spektrum an Vorhersagen zu erzeugen. Diese verschiedenen Optionen der Wetterentwicklung bekommen durch das Ensemble eine Wahrscheinlichkeit zugeordnet. Die gemeinsame Interpretation von mehreren kategorischen Einzelvorhersagen können mit unterschiedlichen Vorhersageverfahren (Multi-Model) oder einem einzigen Modellsystem (Single-Model) erzeugt werden.
Im Gegensatz zur klassischen Wettervorhersage mit nur einer einzigen möglichen Vorhersage, die als absolut angesehen wird, liefern Ensemblesysteme Wahrscheinlichkeiten für das Eintreten verschiedener Optionen des zukünftigen Wetters. In einem perfekt arbeitenden Ensemble gilt: je deutlicher sich die einzelnen Vorhersagen im Ensemble voneinander unterscheiden, desto unsicherer ist die Vorhersage. Die mehrfachen Simulationen werden durchgeführt, um die drei Hauptursachen für Fehler in den Wettervorhersage-Modellen zu verringern:
Fehler verursacht durch Chaos oder unbestimmte Abhängigkeit von den Anfangsbedingungen,
Fehler verursacht durch Unvollkommenheiten im Modell, wie den begrenzten Rasterfeldabständen,
Fehler verursacht durch unvollständige Anfangsbedingungen (die in den Simulationen etwas variiert werden).
Idealerweise sollte das aktuelle Wettergeschehen in die Bandbreite des simulierten Ensembles fallen, und die Häufigkeit der Verteilung sollte mit der Wahrscheinlichkeit des Auftretens bestimmter Wetterereignisse zusammenhängen. Ensemble-Vorhersagen werden hauptsächlich für die Erfassung großflächiger Wetterbedingungen im Vorhersage-Zeitraum von 3 bis 14 Tagen angewendet. Anwendungen im Bereich lokaler Vorhersagen mit hoher Auflösung sind begrenzt, wegen der sehr hohen erforderlichen Rechenleistung und aufgrund des großen Einfluss von großflächigen Mustern auf regionale Entwicklungen über einen Zeitraum von mehr als 5-7 Tage im Voraus.
Vorhersage-Plume mehrerer Modelle für die Niño 3-Region
Das EUROSIP-Multimodel-Saisonvorhersagesystem besteht aus einer Reihe von unabhängigen gekoppelten Saisonvorhersagesystemen, die in einen gemeinsamen Rahmen integriert sind. Ab 2012 umfassen die Systeme die des EZMWF, des Met Office, von Météo-France und NCEP.
Der Grund für die Schaffung eines Prognosesystems mit mehreren Modellen liegt darin, dass die Forschung immer wieder gezeigt hat, dass bessere und zuverlässigere saisonale Vorhersagen erstellt werden können, wenn die Ergebnisse mehrerer Modelle kombiniert werden, anstatt nur ein einziges Modell zu verwenden. In den meisten Fällen ist die Kombination mehrerer Modelle besser als das beste Einzelmodell.
Die grafischen EUROSIP-Multimodel-Saisonvorhersageprodukte (z.B. Niño Plumes) folgen im Allgemeinen dem Design der Saisonvorhersageprodukte des EZMWF, wie im Benutzerhandbuch für die Saisonvorhersage des EZMWF beschrieben.
Seit etwa 20 Jahren werden am Europäischen Zentrum für mittelfristige Wettervorhersage (EZMW) globale Jahreszeitenvorhersagen erstellt und inzwischen gibt es weltweit einige weitere Wetterdienste, die ebenfalls Jahreszeitenvorhersagen produzieren. Zur Erhöhung der Qualität der saisonalen Prognosen werden die Vorhersagen verschiedener Modelle im Ensemble bewertet. Beim EZMW ist das Projekt EUROSIP (European Seasonal to Interannual Prediction) angesiedelt. Das Konsortium betreibt derzeit Modelle des EZMW, des britischen und französischen Wetterdienstes und des nationalen Zentrums für Umweltvorhersagen (NCEP) der USA.
All diese Vorhersagen wurden vor einigen Jahren in den neuen saisonalen Vorhersagedienst aufgenommen, der derzeit vom EU-finanzierten Copernicus-Klimadienst (C3S) unter der Leitung des ECMWF etabliert ist.
What is the history of EUROSIP?
Multi-model seasonal forecasting was pioneered in Europe in the 2000s with two EU-funded research projects (DEMETER and ENSEMBLES). Following the first of these, ECMWF, Météo-Franceand the UK Met Office decided to collaborate on a multi-model seasonal forecasting system, to be run at ECMWF, with forecast production starting in 2005. NCEP then joined as an associate partner, contributing to the forecasts from 2012, and JMA joined in 2017.
EUROSIP leaves a legacy of having pioneered multi-model seasonal forecasting systems; it was followed by similar developments in Asia (the APEC Climate Centre, hosted in South Korea) and North America (the North American Multi-Model Ensemble).
Why is the C3S multi-model taking over?
The EUROSIP system was run on a voluntary basis, with limited coordination and few resources for the development of products. Data policy restrictions meant that EUROSIP could not make available the input data to users, limiting the usefulness of the system. When the European Commission developed the Copernicus Climate Change Service (C3S), good access to seasonal forecast data was considered an important priority. Resources were made available to develop an open-data multi-model seasonal forecasting service, including not only the production of forecasts but also a range of user services. It has taken time to spin-up the C3S multi-model system, so EUROSIP continued to run in parallel with it for some time. Now the C3S system has become mature enough, EUROSIP is finally being decommissioned.
Beim Deutschen Wetterdienst (DWD) wird seit Herbst 2011 gemeinsam mit dem Max-Planck-Institut für Meteorologie in Hamburg und der Universität Hamburg am Aufbau eines eigenen Ensemblevorhersagesystems gearbeitet. Seit Januar 2015 ist das neue Modell ICON (ICOsahedral Nonhydrostatic) in Betrieb. Es liefert globale Vorhersagen mit einer Auflösungvon 13 km weltweit in einem Zeitrahmen von 7 Tagen.
ICON-Modellgitter
Der DWD und das Max-Planck-Institut für Meteorologie in Hamburg (MPI-M) entwickeln gemeinsam das nichthydrostatische Globalmodell ICON (ICOsahedral Nonhydrostatic) mit lokaler Zoomfunktion. Diese Kooperation nutzt die besonderen Erfahrungen der beiden Partner im Bereich numerischer Verfahren und konsistenter physikalischer Parameterisierungen optimal aus. ICON beruht, wie das COSMO Modell des DWD, auf den nichthydrostatischen Gleichungen und lässt sich über beliebigen Gebieten der Erde lokal verfeinern. Die eingesetzten numerischen Verfahren garantieren die Erhaltung der Masse.
ICON wird anfangs mit einer Maschenweite von 13 km weltweit und 6,5 km über Europa die bisherigen operationellen Modelle GME und COSMO-EU ersetzen und so zu einer Optimierung des NWV-Systems des DWD beitragen. Darüber hinaus wird es auch in der Klimamodellierung am MPI-M eingesetzt werden.
Mehr Information über ICON findet sich auf der ICON-Homepage am MPI-M in Englisch
Mit Bezug zu ENSO sind die Anomalien der Meeresoberflächentemperatur im äquatorialen Pazifik sind mit heutigen gekoppelten Ozean-Atmosphäre Zirkulationsmodellen bis zu sechs Monate im Voraus vertrauenswürdig vorherzusehen. Dabei mittelt man über viele Vorhersagen mit unterschiedlichen Anfangsbedingungen (Ensemblevorhersage), um den Einfluss der zufälligen Schwankungen herauszufiltern. Es hat sich außerdem herausgestellt, dass die durch Mittelung der Ensemblevorhersagen verschiedener Modelle (Multi-Modell Ensemble) berechnete »Konsensvorhersage« der Ensemblevorhersage jedes einzelnen Modells überlegen ist. Die ENSO-Vorhersage war der Durchbruch in der Jahreszeitenvorhersage. Es sei an dieser Stelle aber ausdrücklich festgehalten, dass die Jahreszeitenvorhersagen für die Extratropen wenig vertrauenswürdig sind. Die extratropische Atmosphäre ist auf den saisonalen Zeitskalen sehr stark durch die interne chaotische, nicht vorhersagbare Variabilität der Atmosphäre geprägt (Latif 2011).
Das Akronym ENSO setzt sich zusammen aus "El Niño" und "Southern Oscillation" (span. El Niño - Oscilación del Sur, ENOS) und ist der Ausdruck, der gegenwärtig für das gesamte ozeanisch-atmosphärische Phänomen (also das Abwechseln von El Niño- und La Niña-Ereignissen und der neutralen Phasen) verwendet wird. Dabei steht El Niño (und - auch wenn nicht ausdrücklich im Namen erwähnt - La Niña) für die ozeanische Komponente, während die Southern Oscillation (SO) die atmosphärische verkörpert. Letztere stellt eine Art Druckschaukel zwischen dem südostasiatisch-australischen Tiefdruckgebiet (als Messwert wird der Bodendruck von Jakarta, Indonesien, herangezogen) und dem südostpazifischen Hochdruckgebiet (Messwert von Tahiti) dar. Bei einem steigenden Luftdruck im Tiefdruckgebiet über Indonesien fällt der Luftdruck im südostpazifischen Hoch, und die Differenz zwischen beiden Druckgebilden nimmt ab.
Sir Gilbert Walker hatte bei seinen Studien über die Beziehungen des Indischen Monsuns zu meteorologischen Verhältnissen in anderen Gebieten der Erde den Mechanismus der Southern Oscillation beschrieben und benannt (Walker und Bliss 1932). Nach Vorarbeiten von Berlage (1966) wurde die Verknüpfung von El Niño und der Südlichen Oszillation von dem in die USA emigrierten Norweger Jacob Bjerknes in den späten 1960er Jahren geleistet. Er wertete dazu die Messdaten aus, die während des Internationalen Geophysikalischen Jahres 1957/58 zusammengetragen wurden. Zufälligerweise trat während dieser Zeit eine starke El Niño-Episode auf. Einen guten Überblick über die Begriffsgeschichte vom lokalen El Niño zum globalen ENSO im modernen Verständnis geben Zebiak et al. (2014).
Der ENSO-Mechanismus beinhaltet drei Phasen: El Niño, La Niña und die sogenannten neutralen Zwischenphasen. Letztere heißen auch - etwas irreleitend - Normalphasen, "normal" sind aber auch die anderen Teile des Zyklus.
El Niño-Bedingungen im äquatorialen Pazifik
Während eines El Niño-Ereignisses schwächen sich die Passatwinde ab oder kehren sich sogar um und erlauben es dem Gebiet des anomal warmen Wassers sich in den zentralen und östlichen Teil des tropischen Pazifiks zu verlagern.
Diese wärmeren als üblichen Ozeantemperaturen sind verbunden mit einer Absenkung der Thermokline vom zentralen bis zum östlichen Pazifik. Auch trägt ein schwächeres Upwelling von kühlerem Wasser aus der Tiefe zu höheren Meeresoberflächentemperaturen bei.
Zum Vergleich der Pazifik während der Neutralphase
Im neutralen Zustand (weder El Niño noch La Niña) wehen die Passatwinde von Ost nach West über die Oberfläche des tropischen Pazifiks, bringen warme, feuchte Luft und wärmeres Oberflächenwasser in Richtung des westlichen Pazifiks und halten den zentralen Pazifik relativ kühl. Die Thermokline ist im Westen tiefer als im Osten.
Warme Meeresoberflächentemperaturen im westlichen Pazifik pumpen Wärme und Feuchtigkeit in die darüber liegende Atmosphäre. In einem Prozess, der als atmosphärische Konvektion bekannt ist, steigt diese warme Luft hoch in die Atmosphäre auf und verursacht, wenn die Luft feucht genug ist, aufsteigende Cumulonimbuswolken und Regen. Diese nun trockenere Luft reist dann nach Osten, bevor sie über den kühleren östlichen tropischen Pazifik absteigt. Das Muster der Luft, die im Westen aufsteigt und im Osten fällt, wobei sich die Luft an der Oberfläche westwärts bewegt, wird als Walker-Zirkulation bezeichnet.
La Niña-Bedingungen im äquatorialen Pazifik
Während eines La Niña-Ereignisses intensiviert sich die Walker-Zirkulation mit verstärkter Konvektion über dem westlichen Pazifik und stärkeren Passatwinden.
Da die Passatwinde stärker werden, beschränkt sich der Pool an wärmerem Wasser auf den westlichen tropischen Pazifik, was zu höheren Meeresoberflächentemperaturen als üblich in der Region nördlich von Australien führt. Die Meeresoberflächentemperaturen im zentralen und östlichen tropischen Pazifik werden kühler als üblich, und die Sprungschicht rückt näher an die Oberfläche - kühles Wasser aus der Tiefe wird durch den verstärkten Auftrieb an die Oberfläche gezogen.
Um die Geschehnisse während eines ENSO-Ereignisses oder während der Neutral-Phase des ENSO-Zyklus zu verstehen, muss man sich bewusst machen, dass der äquatoriale Pazifik als gekoppeltes System agiert, da der Zustand des Ozeans und der Atmosphäre voneinander abhängen. Wenn die Bedingungen des Ozeans sich ändern, reagiert die Atmosphäre und umgekehrt. Die Hauptindikatoren dieser Änderungen sind der Luftdruck und die Meerestemperaturen. Störungen im Ozean, die Veränderungen der wesentlichen Temperaturmuster verursachen, beeinflussen die Winde in diesem gekoppelten System, was zu einer positiven Rückkopplungsschleife führen kann. Diese verstärkt kleine Änderungen im Zustand des Ozeans und führt zu einem ENSO-Ereignis.
ENSO - Oszillatorischer Charakter
Obwohl die El Niños und die La Niñas oft als "Ereignisse" (engl. events) bezeichnet werden, die etwa ein Jahr andauern, besitzt ENSO als Ganzes einen oszillatorischen Charakter (Trenberth 2013). Der Ozean ist eine Feuchtigkeitsquelle für die Atmosphäre und seine riesige Wärmekapazität agiert als Schwungrad, welches das System Ozean-Atmosphäre über seine 'Erinnerung' an Vergangenes antreibt. Dies führt zu einem im Wesentlichen sich selbst erhaltenden Ablauf, bei dem der Ozean sich nie im Gleichgewicht mit der Atmosphäre befindet. So baut sich als Vorbereitung zu El Niño eine große Menge warmen Wassers in den Tropen auf (westpazifischer Warmwasserkörper), die dann während eines El Niño wieder abgebaut wird. Während der Kaltphase (La Niña) mit ihrem relativ klaren Himmel, heizt die Sonnenstrahlung den tropischen Pazifik wieder auf, die Wärme wird von Meeresströmungen verteilt, wobei der größte Teil in dem tiefen Warmwasserkörper des Westpazifik und in Äquatornähe bei ca. 10° oder 20°N gespeichert wird.
Western Pacific Warm Pool
Auch im Neutralzustand sind die Temperaturen im tropischen Pazifik zwischen Ost und West verschieden. Beispielsweise besitzt der westpazifische Warmwasserkörper großflächig mit die wärmsten Ozeantemperaturen weltweit. Während eines ENSO-Ereignisses werden die Ozeantemperaturen an verschiedenen Stellen wärmer oder kühler als üblich, was sich in den Temperaturgradienten der Ozeantemperaturen zeigt. Diese Temperaturgradienten quer über den Pazifik, sowohl an der Oberfläche als auch im Wasser darunter, insbesondere an der Thermokline, werden als wesentlicher Motor von ENSO angesehen. Quelle: BOM
Während El Niño wird Wärme im Ozean aus den Tropen in höhere Breiten transportiert, und überschüssige Wärme wird an die Atmosphäre abgegeben, vor allem als verstärkte Verdunstung, wodurch der Ozean wiederum gekühlt wird. Verstärkte Niederschläge tragen zu einer allgemeinen Erwärmung der globalen Atmosphäre bei, die ihr Maximum einige Monate nach einem starken El Niño erreicht. Aus diesem Grund wird vermutet, dass die Zeitskala von ENSO durch die Zeit bestimmt wird, die für eine Ansammlung von warmem Wasser in den Tropen beötigt wird, um das System neu aufzuladen, plus der Zeit, die der El Niño zu seiner Entwicklung benötigt. Daher wird ein wesentlicher Teil des Beginns und der Entwicklung der Ereignisse von den Abläufen bestimmt, die ein oder zwei Jahre zuvor geschehen sind. Dies bedeutet auch, dass die künftige Entwicklung mehrere Jahreszeiten zuvor potentiell vorhersagbar ist.
Veränderungen in Atmosphäre und Ozean beim Übergang von La Niña zu El Niño (NASA)
El Niño/Southern Oscillation (ENSO) ist ein gekoppeltes Phänomen von Ozean und Atmosphäre, welches das globale Wetter beeinflusst, z. B. Niederschläge und Dürren. Wir verwenden mehrere NASA- und NOAA-Datenprodukte (siehe hier), um die Interaktion zwischen Ozean und Atmosphäre während des Übergangs von La Niña 2021 zu El Niño 2023 zu visualisieren. Die Visualisierung ist ein umfassender Erklärer, der die Veränderungen in den oberen 300 Metern des Pazifischen Ozeans (wie die Abschwächung der Thermokline und die ostwärts gerichtete Bewegung der warmen Temperaturanomalien) und die Veränderungen in der unteren Atmosphäre (z. B. die Walker-Zirkulation) zeigt. Es ist einer der ersten Versuche, die Walker-Zirkulation und ihren konvektiven Zweig, der sich über den Pazifik bewegt, ohne schematische Darstellungen, sondern anhand von verifizierten Modellergebnissen zu visualisieren.
Wir beginnen mit der Darstellung der Oberflächentemperatur rund um den Globus und zoomen dann in den äquatorialen Pazifik hinein, um unter der Oberfläche den Temperaturgradienten im Pazifik zu sehen und wie dieser Gradient die Bewegung des warmen Wassers vom Westpazifik zum Ostpazifik beim Übergang von La Niña zu El Niño antreibt.
Anschließend zeigen wir die Abweichung der Oberflächentemperatur von den normalen Bedingungen anstelle der absoluten Temperatur an. Dies wird als Anomalie der Meeresoberflächentemperatur bezeichnet. Die Skala zeigt die Abweichung der Meeresoberflächentemperatur vom Normalwert im zentralen Pazifik (das schwarze Rechteck, auch bekannt als Nino 3.4-Region). Dies wird als Maß dafür verwendet, wie stark die El Niño- und La Niña-Ereignisse.
Neben der Temperatur ändert sich auch der Meeresspiegel. Während La Niña ist der Meeresspiegel im Allgemeinen niedriger als normal, während El Niño höher als normal. Diese Veränderungen werden hauptsächlich durch die Winde an der Meeresoberfläche verursacht. Während La Niña drücken die starken Passatwinde aus Westen das Oberflächenwasser nach Westen. Wenn die Passatwinde schwächer werden, schwappt das warme Oberflächenwasser zurück in den Zentralpazifik, was zu einem El Niño im Zentralpazifik führt.
Wir sehen uns die Anomalien der Meeresoberflächentemperatur und -höhe genauer an, indem wir uns den Untergrund am Äquator ansehen. Dieser Temperatur- und Höhenkontrast über dem Pazifik ist mit der atmosphärischen Zirkulation direkt über dem Ozean verbunden, der so genannten Walker-Zirkulation. Dies wird durch Windvektoranomalien veranschaulicht.
Während La Niña führen die warmen Wassermassen im Westpazifik der Luft zusätzliche Wärme zu, was zu einer Aufwärtsbewegung führt, bei der es mehr Wolken und Niederschläge gibt. Beim Übergang zu El Niño schwächen sich die Oberflächenpassatwinde ab, die Warmwasseranomalien breiten sich ostwärts aus, und der konvektive aufsteigende Zweig der Walker-Zirkulation verlagert sich in den zentralen und östlichen Pazifik.
Diese Veränderungen in der Atmosphäre und im Ozean beeinflussen das globale Wetter. Wir zeigen die Auswirkungen von El Niño und La Niña, indem wir aufzeigen, wo sich die Niederschläge verändern.
Wir veranschaulichen auch die Auswirkungen von ENSO auf das Meeresleben. Während La Niña gibt es mehr Auftrieb von kaltem Wasser vor der Küste Perus. Daher gibt es eine höhere Population von Zooplankton, das Fischschwärme anzieht.
Während das engere Wirkungsgebiet von ENSO im Bereich des tropischen Pazifik liegt, scheint es viele Telekonnektionen zu geben, die im Zusammenhang mit ENSO stehen. So werden die Variabilitäten des indischen Monsuns und die Hurrikanhäufigkeit in Mittel- und Nordamerika eng mit ENSO in Verbindung gebracht. Der tropische Pazifik weist unter allen Ozeanen die stärksten Schwankungen der Oberflächentemperatur innerhalb von Zeitspannen auf, die von einigen Monaten bis zu mehreren Jahren reichen. Da diese Meeresregion auch das Weltklima besonders stark prägt, wirken sich die Temperaturschwankungen erheblich auf das globale Klimageschehen aus. (s. Kapitel Globale Auswirkungen)
Im Jahr 2010 verschob sich das El Niño-Klimamuster schnell zu einem der mächtigsten La Niñas seit fünfzig Jahren, was zu dramatischen Überschwemmungen in Australien sowie zu anderen Extremwetterlagen bis zum Frühjahr 2011 führte. Anhand von Temperaturdaten der Meeresoberfläche und Daten zu globalen Wolkenmustern zeigen diese Datenvisualisierungen die markante ENSO-Zyklusverschiebung des Jahres 2010 sowie das daraus resultierende Extremwetter.
Die folgenden Datensätze sind in jedem Film enthalten:
Globale Messungen der Meeresoberflächentemperatur von Januar 2007 bis April 2010, die von zwei Satellitensensoren (dem AVHRR der NOAA und dem AMSR-E der NASA) sowie von Ozeanbojen gewonnen und vom Nationalen Klimadatenzentrum der NOAA verarbeitet werden.
Daten zu Temperaturanomalien an der Meeresoberfläche, die auf Gebiete hinweisen, die heißer oder kälter als normal sind (im 30-Jahre-Durchschnitt).
Infrarot-Satellitenbeobachtungen von globalen Wolkenmustern in den Jahren 2010 und 2011. Das globale Komposit wird von fünf geosynchronen Satelliten (GOES-East, GOES-West, Meteosat-9, Meteosat-7 und MT-SAT) gewonnen und vom Klimavorhersagezentrum der NOAA verarbeitet.
ENSO - Unter der Oberfläche
ENSO-Ereignisse werden typischerweise angestoßen und aufrechterhalten durch Änderungen des Wärmegehalts der Wassermassen unter der Oberfläche des tropischen Pazifiks.
Der tiefere Ozean ist wichtig für die Justierung der Stärke eines Ereignisses und damit für seine potentielle Dauer. Diese großen Wärmevorräte (El Niño) oder Wärmedefizite verhalten sich wie ein Schwungrad und stellen sicher, dass ein Ereignis nicht rasch wieder verschwindet. Beispielsweise waren bei dem El Niño-Ereignis von 1997–98 - manche sehen es als das stärkste des vergangenen Jahrhunderts an - die Meeresoberflächentemperaturen im östlichen tropischen Pazifik etwa 3,5 °C wärmer als normal, aber die Temperaturen in 150 m Tiefe lagen bis zu 8 °C über dem Durchschnitt. Umgekehrt waren die Oberflächentemperaturen im Ostpazifik während der La Niña von 2010-2011 bis zu 2 °C kühler als normal, aber die Temperaturen unter der Oberfläche lagen fast 7 °C unter dem Durchschnitt.
Solche starken Veränderungen im tieferen Ozean stellen sicher, dass das Oberflächenwasser warm, beziehungsweise kühl bleibt, auch wenn die Atmosphäre darüber versucht, das System wieder in den neutralen Zustand zurückzudrängen, und so kann ein ENSO-Ereignis länger erhalten werden.
Häufig lässt man ein ENSO-Jahr im Hinblick auf die drei Kategorien kalt, neutral und warm im Jahresviertel Oktober-November-Dezember beginnen und im Jahresviertel Juli-August-September enden (JMA-Index). Der ENSO-Zyklus weist ein hohes Maß an Unregelmäßigkeit auf. Keine zwei El Niños sind genau gleich. Dasselbe gilt für La Niñas.
Im Allgemeinen tendieren El Niño-Ereignisse dazu, nicht länger als ein Jahr zu dauern, wohingegen mehrjährige La Niña-Ereignisse nicht ungewöhnlich sind. Beispielsweise dauerte die 1998–2001 La Niña drei aufeinanderfolgende Jahre an, vom südhemisphärischen Herbst 1998 bis zum Herbst 2001.
ENSO - Historische Übersicht
Die folgende Tabelle mit den Werten des Oceanic Niño Index der NOAA gibt eine historische Übersicht über die ENSO-Phasen ab dem Jahr 1950. Sie beinhaltet die saisonale Abweichung von Meeresoberflächentemperaturen (ERSST.v3b SST) in der Niño 3.4-Region (5° N - 5° S, 120° - 170° W) bezogen auf eine dreißigjährige Basisperiode, aktuell auf die Zeit von 1981-2010. Die Zuweisung zu einer der drei Phasen (kalt, neutral, warm) bezüglich der Meeresoberflächentemperaturen, erfolgt jeweils für eine Gruppe aus drei aufeinanderfolgenden Monaten. Die Abgrenzung von warmen (rot) und kalten (blau) Episoden erfolgt bei einem Schwellenwert von +/- 0,5 °C. Aus historischen Gründen werden voll ausgebildete kalte und warme Phasen dann als solche definiert, wenn der jeweilige Schwellenwert von mindestens 5 aufeinanderfolgenden Monatsgruppen erreicht wird.
Die 30-jährige Basisperiode wird neuerdings alle 5 Jahre fortgeschrieben, auch die alten Werte beziehen sich inzwischen auf andere Bezugsperioden und wurden deshalb geändert. Konkret bedeutet dies, dass ONI-Werte der Jahre 1950-1955 sich auf die Periode 1936-1965 beziehen, ONI-Werte der Jahre 1956-1960 beziehen sich demnach auf die Basisperiode 1941-1970 und so weiter.
Die Verwendung mehrerer, im 5-Jahres-Rhythmus nachgeführter Bezugsperioden ist dem globalen Erwärmungstrend geschuldet, der bei längerer Verwendung einer 30-Jahresperiode ein falsches Bild des Auftretens der drei ENSO-Phasen ergäbe. Dabei ist zu bedenken, dass es sich beim ONI um relative Temperaturwerte handelt, darum, dass eine bestimmte Region wärmer oder kälter als 'normal' ist.
Historische El-Niño- und La-Niña-Episoden basierend auf dem ONI, berechnet mit ERSST.v5
Weiter zurückreichende Daten (1877-2001) zu den ENSO-Phasen finden Sie hier.
Hinweis: Aufgrund des Hochfrequenzfilters, der auf die ERSSTv4-Daten angewendet wird (Huang et al. 2015, J.Climate), können sich die ONI-Werte bis zu zwei Monate nach der Veröffentlichung des ersten "Echtzeit"-Werts ändern. Daher sollten die neuesten ONI-Werte als Schätzung betrachtet werden.
Nicht selten werden die Begriffe El Niño und ENSO gleichgesetzt, da ENSO in den Massenmedien weniger gebräuchlich ist. Korrekterweise sollte das Akronym um die Bezeichnung für den zweiten Typ von Extremepisoden erweitert werden, beispielsweise zu "LANENSO", für "La Niña-El Niño-Southern Oscillation", dies ist aber nicht üblich.
Abweichungen des Luftdrucks (hPa) von Normal während El Niño bzw. La Niña
Abweichungen der Luftdruckwerte von Normal in mb/hPa während El Niño- bzw. La Niña-Ereignissen. Die negative Phase der SO tritt während El Niño-Episoden auf und geht mit außergewöhnlich hohem Luftdruck über Indonesien und dem westlichen Pazifik einher. Entsprechend ist La Niña mit der positiven Phase der SO und gleichzeitigem tiefem Druck über dem westlichen tropischen Pazifik und hohem Druck über dem östlichen tropischen Pazifik verbunden.
Historische Messreihen ermöglichen mehr oder weniger genaue Rekonstruktionen der Meerestemperaturen bis etwa zur Mitte des 19. Jahrhunderts. Aber natürlich beginnt die Geschichte von ENSO nicht erst mit der Verfügbarkeit von Datenreihen. Will man noch weiter in die Vergangenheit, so muss man nach Spuren etwa in Baumringen, Sedimenten oder Eisbohrkernen suchen. Ein erster Schritt ist dabei die Identifizierung solcher Stellvertretergrößen (sogenannter Proxydaten), die besonders stark auf die Variable reagieren, für die man sich interessiert. Für ENSO können etwa Korallenfossilien, Baumringe oder Sedimente als Proxies verwendet werden.
Untersuchungen von Korallen-Bänken und Sedimentproben aus nordperuanischen Wüstengebieten scheinen ein Alter des El Niño-Zyklus von wenigstens 2 Millionen Jahren zu belegen. Es wird aber angenommen, dass der Zyklus mindestens 3-4 Millionen Jahre zurückreicht, wenn auch mit variierenden Frequenzen und Intensitäten. In dieser Zeit schloss sich der Isthmus von Panama und die Trennung von Atlantik und äquatorialem Pazifik war vollzogen. Das Atmosphäre-Ozean-Zirkulationssystem war davor vermutlich anders ausgeprägt. (vgl. CLIVAR-Poster ENSO Dynamics during the Last Glacial Maximum)
Eine Studie über das El Niño-Phänomen der vergangenen 21.000 Jahre zeigt, dass El Niño beträchtlichen Schwankungen unterworfen war und auf Klimaänderungen in komplexer Weise reagierte, wobei mehrere konkurrierende Faktoren in ihren variierenden Stärken ein Rolle spielten (Brown 2014; Liu Z et al. 2014). Eine Steigerung der Intensivierung von ENSO während der letzten ca. 6.000 Jahre wird angenommen (Moy et al. 2002; Conroy et al. 2008), verursacht durch orbitale Einflüsse; während der frühen Deglaziation veränderten Schmelzwasser-Ausbrüche im Nordatlantik die ENSO-Eigenschaften, und zunehmende CO2-Konzentrationen schienen ENSO abzuschwächen, wohingegen die zurückweichenden Eisschilde ENSO intensivierten.
ENSO - ENSO-ähnliche Erscheinungen in anderen Ozeanbecken
ENSO-ähnliche Erscheinungen über dem Atlantik und dem Indischen Ozean werden intensiv erforscht und diskutiert. Der Grund für die deutliche Ausprägung von ENSO über dem Pazifik liegt in dessen Größe.
Äquatoriale Wellen (Kelvin-Wellen und Rossby-Wellen), die in Ost- bzw. West-Richtung den Pazifik überqueren, benötigen dazu eine Zeit von 2-3 Monaten und beeinflussen sehr große Gebiete. Bei den großen Distanzen im Pazifik können letztlich auf den gegenüber liegenden Seiten völlig unterschiedliche Bedingungen herrschen, die in einem ausgeprägten Zyklus oszillieren. Im kleineren Atlantik und Indik kann sich weder ein solcher Kontrast noch eine derartige Oszillation aufbauen.
ENSO - Möglicher Einfluss der globalen Erwärmung
Eine Beeinflussung von ENSO durch den anthropogenenTreibhauseffekt wird gegenwärtig kontrovers diskutiert. Einzelne Untersuchungsergebnisse deuten an, dass es über Veränderungen in der Ozeanzirkulation zu einer Verstärkung der interannuellen Variabilität der Meeresoberflächentemperatur kommen könnte. Das heißt die Temperaturunterschiede von Jahr zu Jahr könnten zunehmen.
Der letzte IPCC-Bericht äußert geringes Vertrauen in Voraussagen zur künftigen ENSO-Entwicklung, auch wenn die Autoren sich sehr sicher sind, dass ENSO selbst weiter existieren wird (IPCC, 2013).
Inzwischen mehren sich aber die Positionen, die einen deutlichen Einfluss der globalen Erwärmung auf ENSO sehen. (s. Globale Erwärmung)
IPCC 2013: El Niño-Southern Oscillation
There is high confidence that the El Niño-Southern Oscillation (ENSO) will remain the dominant mode of natural climate variability in the 21st century with global influences in the 21st century, and that regional rainfall variability it induces likely intensifies. Natural variations of the amplitude and spatial pattern of ENSO are so large that confidence in any projected change for the 21st century remains low. The projected change in El Niño amplitude is small for both RCP4.5* and RCP8.5 compared to the spread of the change among models. Over the North Pacific and North America, patterns of temperature and precipitation anomalies related to El Niño and La Niña (teleconnections) are likely to move eastwards in the future (medium confidence), while confidence is low in changes in climate impacts on other regions including Central and South Americas, the Caribbean, Africa, most of Asia, Australia and most Pacific Islands. In a warmer climate, the increase in atmospheric moisture intensifies temporal variability of precipitation even if atmospheric circulation variability remains the same. This applies to ENSO-induced precipitation variability but the possibility of changes in ENSO teleconnections complicates this general conclusion, making it somewhat regional-dependent.
*A new set of scenarios, the Representative Concentration Pathways (RCPs), was used for the new climate model simulations carried out under the framework of the Coupled Model Intercomparison Project Phase 5 (CMIP5) of the World Climate Research Programme.
Unbestritten zählen die Vorgänge in Zusammenhang mit ENSO zu den auffälligsten kurzfristigen Klimaschwankungen. "Die Variabilität des Klimas ist grundsätzlich systemimmanent und resultiert aus den unterschiedlichen Interaktionen atmosphärischer Parameter mit den Klimafaktoren der Erdoberfläche" (Lauer 1999).
ENSO-Niederschlag und seine Anomalien
Das Hovmoeller-Diagramm zeigt die zeitlich-räumliche Variabilität des Niederschlags für den Breitenbereich O°-5° S. Deutlich erkennbar ist das Signal eines ENSO-Warmereignisses mit einerseits hohen Niederschlägen über dem südäquatorialen Pazifik, die sich bis nach Ecuador/Peru erstrecken, und andererseits einer Trockenregion um Indonesien (El Niños von 1982/83, 1986/87, 1991/92, 1997/98).
Sie benutzen dabei folgende Kategorien und Kriterien:
Warnkategorien
El Niño oder La Niña Watch: Herausgegeben, wenn die Bedingungen für die Entwicklung von El Niño oder La Niña innerhalb der folgenden 6 Monate günstig sind.
El Niño oder La Niña Advisory: Herausgegeben, wenn El Niño- oder La Niña-Bedingungen beobachtet werden und man ihren Fortbestand erwartet.
Final advisory: Herausgegeben, nachdem El Niño oder La Niña-Bedingungen nicht mehr bestehen.
Not Active: Das ENSO Alert System ist nicht aktiv. (Weder El Niño noch La Niña werden beobachtet oder in den folgenden sechs Monaten erwartet.)
El Niño-Kriterien
Die durchschnittlichen Meeresoberflächentemperaturen in der Niño3.4-Region des äquatorialen Pazifik (5°N-5°S, 120°W-170°W) waren im vorangegangenen Monat wenigstens 0,5 °C (0,9 °F) wärmer als im Durchschnitt, und
es besteht die Erwartung, dass die Anomalie über 5 aufeinanderfolgende, überlappende 3-Monatsabschnitte (z.B. DLF, JFM, FMA usw.) andauern wird und
die Atmosphäre über dem tropischen Pazifik nimmt eine oder mehrere Veränderungen an, die gewöhnlich mit El Niño in Verbindung gebracht werden:
schwächere östliche Passatwinde als üblich,
reduzierte Bewölkung und geringere Niederschläge über Indonesien und eine damit einhergehende Zunahme des durchschnittlichen Bodendrucks, oder
verstärkte Bewölkung und höhere Niederschläge im zentralen und östlichen Teil des Pazifikbeckens und ein damit einhergehender Rückgang des durchschnittlichen Bodendrucks.
Liegen El Niño-Bedingungen vor?
Grafische Zusammenfassung (Flowchart) der Entscheidungsprozesse bei der Bestimmung von El Niño-Bedingungen.
Am ersten Donnerstag jeden Monats veröffentlichen Wissenschaftler des Climate Prediction Center der NOAA in Zusammenarbeit mit Meteorologen am International Research Institute for Climate and Society (IRI) ein offizielles Update des Zustands von ENSO. Die Kategorien sind in diesem Abschnitt beschrieben, die Grafik links gibt eine Zusammenfassung in Bezug auf El Niño.
Die durchschnittlichen Meeresoberflächentemperaturen in der Niño3.4-Region des äquatorialen Pazifik (5°N-5°S, 120°W-170°W) waren im vorangegangenen Monat wenigstens 0,5 °C (0,9 °F) kühler als im Durchschnitt, und
es besteht die Erwartung, dass eine durchschnittliche Anomalie von mindestens -0.5°C über 5 aufeinanderfolgende, überlappende 3-Monatsabschnitte (z.B. DLF, JFM, FMA usw.) andauern wird und
die Atmosphäre über dem tropischen Pazifik eine oder mehrere der folgenden Veränderungen annimmt, die gewöhnlich mit La Niña in Verbindung gebracht werden:
stärkere östliche Passatwinde als üblich,
verstärkte Bewölkung und erhöhte Niederschläge über Indonesien und ein damit einhergehender Rückgang des durchschnittlichen Bodendrucks
reduzierte Bewölkung und geringere Niederschläge im östlichen Teil des tropischen Pazifiks und eine damit einhergehender Zunahme des durchschnittlichen Bodendrucks.
Flussdiagramm mit dem Entscheidungsfindungsverfahren zur Bestimmung der La Niña-Bedingungen
Wie bei El Niño müssen eine Reihe von Bedingungen erfüllt sein, bevor wir den Beginn von La Niña feststellen können. Zunächst muss der monatliche Niño3.4-Index auf oder unter -0,5°C fallen. Das ist nahe dran, aber noch nicht genug. Danach müssen wir Prognosen sehen, dass er für fünf sich überlappende Dreimonatszeiträume ("Seasons") unter dieser Schwelle bleiben wird.
Und schließlich muss man die richtige Reaktion der Atmosphäre sehen: eine verstärkte Walker-Zirkulation, d.h. stärkere östliche und obere westliche Oberflächenwinde über dem äquatorialen Pazifik, einen unterdurchschnittlichen Luftdruck und mehr Niederschläge über Indonesien, weniger Niederschläge über dem zentralen Pazifik und einen überdurchschnittlich hohen Luftdruck in der Nähe des östlichen Pazifiks.
Vorschlag für eine verbesserte Version des El Niño-Schemas
Glantz und Ramirez (2020) stellen im Rahmen ihrer Vorschläge zur Überarbeitung des ONI-Index auch eine revidierte Version des El Niño-Schemas aus dem ENSO-Blog (s.o.) vor. Mit höherer Genauigkeit und Detailreichtum soll sie nutzerorientiert den Überwachungs- und Vorhersageprozess zu El Niño besser beschreiben.
Revidiertes Flussdiagramm mit dem Verfahren zur Bestimmung von El Niño-Bedingungen
Von Glantz und Ramirez (2020) modifiziertes Schema von 2015 aus dem ENSO-Blog (s.o.). Es wurde von den Autoren modifiziert, um mehr Details zur Entscheidungsfindung zu liefern.
Grüne und rosa Linien stellen Rückkopplungsschleifen dar, während rot der Vorhersagepfad im Entscheidungsbaum ist
Im ENSO Blog geht es hauptsächlich um die Überwachung und Vorhersage von El Niño, La Niña und deren regionale und globale Auswirkungen, aber manchmal auch um andere Klimaphänomene, die das saisonale Klima beeinflussen.
Unser Verständnis von ENSO war immer mit seinen Auswirkungen auf menschliche Gemeinschaften verbunden. Mindestens seit dem frühen 16. Jahrhundert haben Fischer vor der peruanischen Küste erkannt, dass periodisch auftretendes warmes Wasser ihre Sardellenfänge beeinträchtigen. Wohl zur selben Zeit bemerkten peruanische Bauern, dass warme Meerestemperaturen mit höherem Niederschlag einherging. Da die Erwärmung des Ozeans tendenziell um Weihnachten auftrat, wurde das Phänomen El Niño nach dem Christuskind benannt.
Gegen Ende des 19. Jahrhunderts vertieften peruanische Geographen ihre Forschungen über die Klimabedingungen entlang der Küste (Eguiguren 1894), wobei sie einen typischen Wechsel von kalten zu warmen Ozeanbedingungen gegen Jahresende feststellten, den sie einer warmen, südwärtigen Strömung zuschrieben (Ortlieb 1993, Nicholls 1989). Die Strömung, man nannte sie Corriente El Niño, entstammte der Region um die ecuadorianische Stadt Guayaquil. Die Herkunft mitgeführter Baumstämme, auf denen man auch Reste von Eidechsen fand, hat man in Nordperu von der Stadt Tumbes bis in die Region La Libertad verortet (IGP). Die Geographen beobachteten auch, dass in manchen Jahren das Einsetzen der warmen Verhältnisse stärker als üblich war und von ungewöhnlichen ozeanischen und klimatischen Phänomenen begleitet wurde. Interessanterweise wurden die stärkeren Niederschläge in den wüstenhaften nordperuanischen Küstenregionen als durchaus vorteilhaft gesehen, solange sie eben nicht die Stärke der späteren Ereignisse von 1982-83 und 1997-98 erreichten.
La Corriente del Niño e historia de su estudio
Es interesante que los años de lluvias fuertes en la costa norte eran considerados entonces como "buenos" o "extraordinarios", según su intensidad, ya que proveían de muy necesaria agua a esta normalmente desértica región, pero los eventos recientes de los años 1982-83 y 1997-98 fueron tan intensos que produjeron pérdidas en vidas humanas, en las actividades económicas y en la infraestructura de la región debido a las lluvias intensas y los desbordes de los ríos. Eguiguren, V. (1894): Las lluvias en Piura, Boletín de la Sociedad Geográfica de Lima. Nach Instituto Geofísico del Perú
Unabhängig von dieser Arbeit untersuchte der britische Physiker Sir Gilbert Walker die Beziehung zwischen dem indischen Monsun und meteorologischen Bedingungen an anderen Orten weltweit. Er entdeckte etwas, das er die Südliche Oszillation (Southern Oscillation, SO) nannte, eine großräumige interannuelle Fluktuation des Luftdrucks auf Meereshöhe zwischen dem westlichen und dem östlichen Pazifik (Walker 1934), deren gegensätzliche Pole bei Darwin (Australien) und bei Tahiti lagen. Walkers Entdeckung der SO war der erste wissenschaftliche Hinweis auf den Zusammenhang zwischen Wetterbedingungen in entfernten Teilen des tropischen Pazifiks.
Erst in den 1960er Jahren erkannten Wissenschaftler, dass die episodische Erwärmung der Meeresoberflächentemperatur (SST) vor der peruanischen Küste Teil einer ozeanweiten Störung ist, die sich westwärts entlang des Äquators bis zur Datumsgrenze erstreckt, und dass diese Veränderungen der SST mit der Southern Oscillation in Verbindung stehen. Berlage (Berlage 1966) war der erste, der diese Verbindung erkannte und so wurde der Begriff El Niño mit außergewöhnlich starken Warmereignissen verknüpft, die ca. alle 2-7 Jahre gemeinsam mit Anomalien im Bereich des gesamten tropischen Pazifiks auftreten.
Aufbauend auf dieser Entdeckung war der norwegisch-amerikanische Meteorologe Jacob Bjerknes in der Lage, einen Mechanismus vorzuschlagen, der diese beiden Phänomene miteinander verbindet. In seinem Konzept war El Niño die ozeanische Ausprägung einer großräumigen Interaktion zwischen Ozean und Atmosphäre. Bjerknes benutzte Beobachtungsdaten als Beleg dafür, dass die lange Dauer von Klimaanomalien in Verbindung mit Walkers Southern Oscillation (Walker 1934), einschließlich der Veränderungen im System der pazifischen Passatwinde, eng verknüpft war mit langsam aufkommenden SST-Anomalien im äquatorialen Pazifik. Kurz gesagt, Bjerknes postulierte, dass eine Erwärmung bzw. Abkühlung der Meeresoberflächentemperaturen im Pazifik ein Nachlassen bzw. eine Verstärkung der Passate zur Folge habe. Dies treibt seinerseits Veränderungen der Ozeanzirkulation an, die die Tendenz der SST verstärken - eine positive Rückkopplung (Bjerknes, J. 1969). Obwohl diese Argumentation die Entwicklung der Warmbedingungen unter El Niño erklärt oder auch die gegenteiligen extremen Abkühlungsbedingen unter dem, was man heute mit La Niña bezeichnet, war Bjerknes bewusst, dass ein Verständnis für die aufeinanderfolgenden Wechsel der Zustände noch immer fehlte. Diese Erklärung erbrachten die Forschungsergebnisse in Ozeanographie und Meteorologie erst 20 Jahre später, basierend auf den bahnbrechenden Arbeiten von Bjerknes. Die Theorie von Bjerknes hatte auch noch keine Erklärung für die Dauer der einzelnen Phasen oder weshalb sie im Nordwinter ihren stärksten Abschnitt haben. Auch war die Frage offen, wie Veränderungen der Windverhältnisse im westlichen und zentralen Pazifik zu Änderungen der Meeresoberflächenhöhe im Ostpazifik führen.
Im Laufe der 1979er und 1980er Jahre erweiterten neue grundlegende Arbeiten das Verständnis von der Verbindung zwischen El Niño und Southern Oscillation. Wyrtki (1975) erkannte, dass beckenweite Änderungen des Meeresspiegels sich zur gleichen Zeit abspielten wie ENSO-Ereignisse, insbesondere stellte er den Meerespiegelanstieg im Ostpazifik heraus, der mit ENSO-Warmphasen verknüpft ist. Er zeigte auch, dass Änderungen bei initialen Windbedingungen im zentralen und westlichen Pazifik ablaufen, weit entfernt von den Gegenden mit angestiegenem Meeresspiegel und höheren STT im Ostpazifik. Dies war nach Wyrtkis Ansicht der Hinweis darauf, dass die Effekte auf Meeresspiegelhöhe (SSH) und SST durch äquatoriale Kelvinwellen ausgelöst sein könnten. Auf diese Weise wurde großräumige Ozeandynamik in das konzeptionelle Verständnis von ENSO eingeführt. Weitere Studien entwickelten die Theorie von windgetriebener äquatorialer Ozeandynamik fort und belegten auch die Fähigkeit numerischer Modelle auf der Grundlage von Windbeobachtungen, die prinzipiellen Merkmale der ozeanischen Variabilität mit ENSO-Bezug zu erfassen (Busalacchi, A. 1981).
Während dieser Forschungsanstrengungen lief 1982-83 ein historisches El Niño-Ereignis ab, das größte bis dahin aufgezeichnete. Es intensivierte die Anstrengungen, um ENSO besser beobachten, verstehen und letztlich auch vorsagen zu können. Der El Niño von 1982-83 war in mehrfacher Hinsicht bemerkenswert, nicht nur wegen seiner Stärke. Das Ereignis besaß weitreichende Auswirkungen in weiten Teilen der Erde und brachte El Niño öffentliche Aufmerksamkeit wie nie zuvor. Das Ereignis wurde erst erkannt als es bereits längere Zeit im Gange war, was auf das Fehlen eines Meeresbeobachtungssystems für Echtzeitendaten zurückzuführen war. Das Timing und die Entwicklung des Ereignisses unterschied sich von einigen vorherigen Ereignissen und auch das ‚Auftürmen‘ des Meeresspiegels im Westpazifik, nach Wyrtkis Hypothese ein Vorläufer von El Niño, war nicht ersichtlich.
Vor diesem Hintergrund war der El Niño von 1982-83 der Auslöser für eine neue Welle wissenschaftlichen Interesses und schließlich für die Schaffung eines auf 10 Jahre angelegten internationalen Forschungsprogramms, dem Tropical Ocean-Global Atmosphere Program (TOGA), um ENSO und seine globalen Auswirkungen zu untersuchen und vorherzusagen (Anderson, DLT. 1998). Ein wichtiges Ergebnis dieses Projekts war die Schaffung eines in nahezu Echtzeit arbeitenden ENSO-Beobachtungssystems, das inzwischen ein großes Feld von verankerten Bojen umfasst (McPhaden 1998), ferner ein Schiffsbeobachtungsprogramm auf freiwilliger Beteiligungsbasis und eine Vielzahl von Satellitenbeobachtungen.
Das TOGA-Programm beförderte auch wichtige Arbeiten zur Modellierung von ENSO. Zebiak und Cane (1987) sowie Schopf und Suarez (1988) stellten gekoppelte dynamische Modelle vor, die plausible Simulationen von ENSO produzierten. Mit realistischen Parametereingaben produzierten die Modelle anomale SST und Winde, die den beobachteten ENSO-Anomalien sowohl in ihrer Struktur als auch in ihrer Stärke vergleichbar waren. Die Simulationen stellten darüber hinaus eine Abfolge von Warm- und Kaltereignissen dar, die sich im Abstand von 3-4 ablösten (analog zu den beobachteten ENSO, allerdings mit größerer Regelmäßigkeit), und sie erfassten den Zeitpunkt der stärksten Erwärmung gegen Ende des Kalenderjahres recht realistisch.
Diese Erfolge bei der Modellierung erlaubten es, die den ENSO-Prozessen zu Grunde liegenden physikalischen Prozesse aufzuzeigen und sie bereiteten den Boden, die Vorhersagbarkeit von ENSO ins Auge zu fassen. In rascher Aufeinanderfolge präsentierte eine Anzahl von Studien eine verfeinerte theoretische Interpretation der ursprünglichen Modellergebnisse, besonders bei den Mechanismen, die für die quasi-regelmäßige mehrjährige ENSO-Oszillation. Suarez und Schopf (1988) und Battisti und Hirst (1989) wiesen nach, dass (ostwärts gerichtete) westliche Windanomalien im Zentralpazifik sowohl Kelvin-Wellen erzeugen, die sich ostwärts ausbreiten und in der Ausbreitungszone die Thermokline absenken, als auch westwärts gerichtete Rossby-Wellen, die auf ihrem Weg die Thermokline wieder anheben. Dann werden die Rossby-Wellen von der westlichen Umrandung des Ozeanbeckens reflektiert und setzen sich nach Osten als Kelvin-Wellen fort, welche ihrerseits eine Anhebung der Thermokline im äquatorialen Ostpazifik bewirken und die ursprüngliche Erwärmung der SST etwa 6 Monate nach dem Beginn der initialen SST-Erwärmung im Osten wieder umkehren - eine Art von verzögerter negativer Rückkopplung. So entstand die zentrale Auffassung, dass die positive (Bjerknes) Rückkopplung in Verbindung mit diesem verzögerten negativen Feedbackprozess zu einer ENSO-Oszillation führen kann, wie sie real beobachtet wurde. Diese sogenannte ‚delayed oscillator theory‘ und Varianten, die aus ihr entwickelt wurden, sind die Haupterrungenschaften der TOGA-Periode (Neelin 1998).
Schon vor den eben beschriebenen Studien zur Modellierung gab es Anstrengungen um El Niño mit Hilfe von statistischen Verfahren vorherzusagen. Die Erfolge bei der Simulation von ENSO mit den ersten gekoppelten Modellen war dann die Motivation für eine neue Runde von Anstrengungen, die auf diesen Werkzeugen basierten. Cane et al. (1986) waren die ersten, die die Fähigkeit zur Vorhersage von ENSO-Bedingungen mit mehreren Jahreszeiten Vorlauf mit Hilfe eines vollständig gekoppelten Modells demonstrierten.
Nach diesen frühen Erfolgen wurde eine ganze Reihe von Modellen zur ENSO-Vorhersage mit unterschiedlicher Komplexität entwickelt. Diese Modelle können in drei Kategorien unterteilt werden: Rein statistische Modelle (Barnston 1992), hybride Modelle mit physikalischen Ozean und statistischen Atmosphärendaten (Barnett 1993), vollständig gekoppelte Modelle mit physikalischen Ozean- und Atmosphäredaten. Heute (2014) laufen weltweit an Forschungszentren über 20 ENSO-Vorhersagesysteme auf Routinebasis (Tippett 2012).
Überprüfungen der Zuverlässigkeit von Vorhersagen haben diesbezüglich eine leichte Überlegenheit der dynamischen gegenüber den statistischen Modellen ergeben. Insgesamt schwankt die Zuverlässigkeit über die Jahre und hat nach einer Phase tendenzieller Qualitätszunahme in jüngerer Zeit an Verlässlichkeit verloren (Zebiak 2015), möglicherweise eine Folge der eingetretenen größeren Variabilität von ENSO (Barnston 2012) oder auch beeinflusst durch den Klimawandel. Auch ist die zusätzliche und für ENSO-Prognosen erschwerende Rolle der regionalen Klimamuster noch Gegenstand der Forschung. Die Fehlprognosen des Jahres 2014, mit denen ein El Niño vorhergesagt war und der unerwartete Aufzug des starken Warmereignisses von 2015 haben die Fachwelt nach ihrer jahrzehntelangen Forschungsarbeit sehr verunsichert (McPhaden 2015).
Dennoch fällt es schwer, die Arbeiten bezüglich ENSO zu hoch einzuschätzen, da sie zum ersten Mal das Vorhersagepotenzial einiger Klima-/Wettercharakteristika über einen längeren Zeitraum (d.h. 1-3 Jahreszeiten) demonstrierten. So verspricht man sich auf der Grundlage dieser Erfahrungen ein großes Potenzial für die Vorhersagbarkeit des saisonalen Klimas in bestimmten Regionen. Für viele Gebiete ist die saisonale Vorhersagemöglichkeit aber noch bescheiden. Dennoch gibt es bei vielen Wetterdiensten weltweit saisonale Vorhersagen auf operationeller Basis.
Das historische El Niño-Ereignis von 1997/98 vollzog sich vor dem Hintergrund des Wissens um die Mechanismen von ENSO, seine Vorhersagbarkeit und seine Einflüsse auf regionales Klimageschehen (McPhaden 1999). Daraus entstand der dringende Bedarf nach Informationen über die Entwicklung des Ereignisses selbst, wie auch auf damit verbundene Klimabedingungen. Als Reaktion wurden in verschiedenen Regionen der Erde Foren zu Klimaprognosen (Climate Outlook Forum) eingerichtet, in denen Wissenschaftler, Wetterdienste und potenzielle ‚Nutzer‘ von Vorhersageinformationen zusammen trafen, um gemeinsame Vorhersagen zu formulieren und deren Anwendungspotenzial zu propagieren. ( Zebiak et al. 2015).
So hat sich in den letzten 25 Jahren unser Verständnis von ENSO ständig weiterentwickelt, da neue Komplexitätsebenen in der ENSO-Dynamik und -Vorhersagbarkeit erkannt wurden. Das Konzept von El Niño hat sich von einer typischen Abfolge von Phasen vom Beginn über die Reife bis zum Ende zu einem Konzept entwickelt, das die räumlich-zeitliche Komplexität und die unterschiedlichen Klimaauswirkungen berücksichtigt. Wir haben auch erkannt, dass ENSO sich zwar in erster Linie als eine Klimaschwankung von Jahr zu Jahr manifestiert, seine Dynamik jedoch ein breites Spektrum von Prozessen umfasst, die auf Zeitskalen von Wochen bis Jahrzehnten zusammenwirken. Die Vielfalt der Muster, der Amplitude und der zeitlichen Entwicklung dieses Klimaphänomens wird allgemein als ENSO-Komplexität bezeichnet.
Der ENSO Outlook, zu deutsch “ENSO-Ausblick“ war bis zum Dezember 2024 ein Warnsystem des australischen Bureau of Meteorology (BOM) für das Naturphänomen El Niño/Southern Oscillation (ENSO).
Der ENSO Precipitation Index, dt. ENSO-Niederschlagsindex, bemisst die Stärke von ENSO über Änderungen regionaler Niederschläge. Das Ziel bei der Einrichtung eines Niederschlags-basierten Index war es, den Gradienten von Niederschlagsanomalien über das Pazifikbecken hinweg abzuschätzen und eine gute Beziehung zu SST- und Druck-basierten Indizes herzustellen.
Dazu werden zwei rechteckige Gebiete ausgewiesen, eines im tropischen Ostpazifik (10°S-10°N, 160°E-100°W) und das andere über dem Maritimen Kontinent (10°S-10°N, 90°E-150°E).
Wegen des räumlich veränderlichen Charakters der Niederschläge entschied man sich außerdem, Durchschnittswerte in beweglichen Blöcken zu ermitteln, welche die stärksten zonalen Gradienten im äquatorialen Pazifik widergeben sollen. Diese Vorgehensweise unterscheidet sich von vielen anderen Indizees mit festen Bezugsregionen und berücksichtigt eine realistische meridionale Komponente des Niederschlagsgradienten und die Wanderung der auf- und absteigenden Äste der Walker-Zirkulation.
Dt. wörtlich "Schiefe"; Bezeichnung für die Amplitudenasymmetrie der El Niño- und La Niña-Ereignisse, welche die Tatsache quantifiziert, dass El Niño-Ereignisse größere Amplituden erreichen als La Niña-Ereignisse. Schiefe ist ein deutlicher Hinweis auf Nichtlinearität im ENSO-Zyklus.
Die zwei Phasen von ENSO - El Niño und La Niña - sind keine exakten Spiegelbilder voneinander: Im Ostpazifik sind die Anomalien der warmen Temperaturen von El Niño-Ereignissen stärker als die Anomalien der kalten Temperaturen von La Niña-Ereignissen. Die Ursache liegt hauptsächlich bei den stärkeren positiven ozeanischen Rückkopplungen für El Niño.
Im zentralen Pazifik sind die Kälteanomalien von La Niña üblicherweise stärker ausgeprägt als die Wärmeanomalien von El Niño, und die Kaltanomalien bilden sich hier rascher aus dank einer stärkeren positiven Rückkopplung der Thermokline und einer schwächeren nichtlinearen Dämpfung. Ferner dauern La Niña-Ereignisse länger als El Niño-Ereignisse. (Guan et al. 2019)
Diese Unterschiede werden mit dem Begriff ENSO Asymmetrie bezeichnet (Burgers und Stephenson 1999). Die Asymmetrie ist eine intrinsische nichtlineare Eigenschaft des ENSO-Phänomens. (An 2004)
Die Asymmetrie zeigt sich sowohl in den Verhältnissen an der Meeresoberfläche, als auch darunter (z.B. Rodgers et al. 2004; Zhang et al. 2009b). Die Gründe für die Asymmetrie sind noch nicht klar verstanden (2019), aber viele Studien legen nahe, dass sie eine Folge der Nichtlinearität der Ozeandynamik ist.
Das typische El Niño-Muster (l) und das typische La Niña-Muster (r)
Die Muster sind mit einer rotierten EOF-Analyse berechnet worden und dimensionslos. Die Muster sind mit der Standardabweichung der Anomalien der Meeresoberflächentemperatur in der Niño 3.4-Region skaliert.
Die Unterschiede zwischen El Niño und La Niña im Hinblick auf das räumliche Muster haben mit der Lage der Thermokline zu tun. Die Erwärmung der Meeresoberfläche während eines El Niño-Ereignisses ist im Osten stärker, wo sich die Thermokline dicht unterhalb der Oberfläche befindet. Während eines El Niño-Ereignisses schwächen sich die Passatwinde ab, wodurch sich der Auftrieb längs des Äquators verringert und sich die Thermokline im Osten nach unten bewegt. Damit nimmt der kühlende Einfluss des Auftriebs auf die Temperatur der Meeresoberfläche ab und die Temperatur innerhalb der Kaltwasserzunge steigt.
Mit umgekehrten Vorzeichen funktioniert die Änderung der Temperatur während eines La Niña-Ereignisses. Die Winde verstärken sich, der Auftrieb nimmt zu und die Thermokline wandert bis an die Meeresoberfläche. Weil die Thermokline im äquatorialen Ostpazifik aber ohnehin schon dicht unterhalb der Meeresoberfläche liegt, ist dort die Abkühlung an der Meeresoberfläche begrenzt. Das ist weiter im Westen, im zentralen Teil des Beckens, in diesem Maße nicht der Fall, weswegen sich die größten Temperaturanomalien während La Niña-Ereignissen im äquatorialen Zentralpazifik befinden (s. Abb.). Dies erklärt, warum die positiven Anomalien der Meeresoberflächentemperatur im Osten besonders stark ausgeprägt sind, während die negativen Anomalien ihre Maximalwerte im zentralen äquatorialen Pazifik erreichen. Ganz im Westen ist wegen der relativ tief liegenden Thermokline die Temperaturänderung an der Meeresoberfläche sehr begrenzt, so dass sowohl während El Niño- als auch während La Niña-Ereignissen kaum nennenswerte Anomalien zu beobachten sind. (Latif 2018)
Signifikante Unterschiede bestehen auch in der Dauer und bei den Phasenübergängen von El Niño und La Niña. So verfallen beispielsweise die El Niño-Ereignisse im Allgemeinen im Sommer nach ihrer Reifezeit, aber die La Niña-Ereignisse dauern oft ein zweites Jahr lang an. Das häufige Auftreten einer La Niña im zweiten Jahr ist eine bemerkenswerte Abweichung von einem rein linearen ENSO-Zyklus. Diese asymmetrischen Merkmale zwischen El Niño und La Niña können auf dekadische oder eine sogar noch längere Variabilität im tropischen Pazifik hindeuten. (Guan et al. 2019)
Bezeichnung für die Verschiedenartigkeit der einzelnen ENSO-Ereignisse, insbesondere der Warmereignisse (El Niños). ENSO-Ereignisse unterscheiden sich in ihrer Stärke (engl. amplitude), ihrer zeitlichen Entwicklung und ihres räumlichen Musters.
Keine zwei Ereignisse sind gleich - seien sie stark, mittel oder schwach. Diese Vielfalt ergibt sich aus den unterschiedlichen Rollen des Hintergrundrauschens und der positiv und negativ gekoppelten Rückkopplungsprozesse zwischen Atmosphäre und Ozean, die dazu führen, das Wachstum der Anomalien der Meeresoberflächentemperaturen zu verstärken bzw. zu unterdrücken.
Seit der ersten Dekade dieses Jahrhunderts hat besonders die longitudinale Position der ozeanischen Erwärmung während El Niño-Ereignissen große Aufmerksamkeit erfahren. Dies liegt an den Einflüssen der Erwärmungsregion auf atmosphärische Telekonnektionen und weitere Fernwirkungen. Verschiedene Herangehensweisen, Indizes und Definitionen wurden vorgestellt, um die verschiedenen El Niño-Varianten zu kategorisieren.
Unterschiedliche Auffassungen bestehen vor allem bei der Frage, ob bei ENSO ein Kontinuum mit einigen interessanten Extremfällen vorliegt oder wegen der unterschiedlichen Lage der Aktionszentren zwei Typen von El Niño existieren (Central Pacific El Niño (CP) und East Pacific El Niño (EP)). CP El Niños sind im Allgemeinen schwach ausgebildet, wohingegen EP El Niños schwach oder stark sein können. (s. El Niño Modoki)
Die unterschiedlichen Zentren der äquatorialen Erwärmung sind verbunden mit verschiedenen Auswirkungen und Telekonnektionen. Wenn sich die zugrunde liegenden Meeresoberflächentemperaturen (SSTs) im äquatorialen Pazifik ändern, kommt es zu Verlagerungen der hochreichenden atmosphärischen Konvektion, die wiederum zu einer Anpassung der globalen Walker-Zirkulation führen und stationäre atmosphärische Wellen erzeugen, die sich auf weite Teile unseres Planeten auswirken. Diese gestörte globale Zirkulation beeinflusst die Wettervariabilität und führt zu einer massiven Reorganisation der tropischen und außertropischen Temperatur- und Niederschlagsmuster.
Daher ist es nicht nur von Bedeutung vorherzusagen, dass ein El Niño auftreten wird, sondern auch um welche Variante (‚flavor‘) es sich handelt. Allerdings ist das Verständnis der ENSO-Diversität noch begrenzt, und die Existenz von spezifischen Vorläuferereignissen (‚precursors‘) für die verschiedenen Varianten ist unklar. Das mangelnde Verständnis liegt nicht zuletzt an der relativ kurzen Reichweite der Instrumentenaufzeichnungen. Um die Datenreihe weiter in die Vergangenheit zu verlängern, werden ‚Rekonstruktions‘-Verfahren eingesetzt, die oftmals räumliche Muster verwenden, die typisch sind für aktuelle Zeitabschnitte mit dichteren Datenreihen. Zusätzlich liefern Klima-Proxies (Korallen, Baumringe, Seesedimente, Eisbohrkerne von Gebirgsgletschern) einen längerfristigen Einblick in das tropisch-pazifische Klima und in die ENSO-Variabilität vor der Instrumentenzeit.
Paläoklimatische Rekonstruktionen des ENSO-Phänomens der letzten ~10.000 Jahre zeigen ebenfalls ein breites Spektrum an Schwankungen und unterstreichen damit die Bedeutung interner Klimaprozesse bei der Steuerung der Komplexität von ENSO auf Zeitskalen von Jahrzehnten bis Jahrhunderten. Darüber hinaus zeigt die Aktivität der rekonstruierten ENSO-Variabilität eine Intensivierung im späten 20. Jahrhundert im Vergleich zu vorindustriellen Perioden und wirft damit die allgemeine Frage auf, ob externe Antriebe die Entwicklung und Amplitude von ENSO beeinflussen könnten. Wie ENSO auf die globale Erwärmung reagiert, ist eine der brennendsten offenen Fragen.
Angesichts der gesellschaftlichen und ökologischen Relevanz von ENSO ist es von größter Bedeutung, das Verständnis der Prozesse zu verbessern, die die Amplitude, den Zeitpunkt, die Dauer, die Vorhersehbarkeit und die globalen Auswirkungen von ENSO steuern.
ENSO-Diversität im Zeitraum 1980-2017
(a) ENSO-Index (EPI) für den Ostpazifik (EP) gegenüber dem Index (CPI) für den Zentralpazifik (CP), gemittelt über den Zeitraum Dezember-Februar (DJF), wenn die ENSO-Ereignisse typischerweise ihren Höhepunkt erreichen, wobei die Kreisgröße der ENSO-Amplitude entspricht und die Farbe den Typ (EP, CP, EP/CP) anzeigt. (b)-(e) Zusammenstellung von DJF-SST-Anomalien für jede Art von ENSO-Ereignissen. (f) SST-Anomalie über dem äquatorialen Pazifik (gemittelt über 5° S-5° N), gekennzeichnet durch verschiedene Farben, die die Ereignistypen in (a) kennzeichnen. Der EPI und der CPI basieren auf denen von Sullivan et al. (2016), definiert als Niño3 - 0.5*Niño4 bzw. Niño4 - 0.5*Niño3 (wobei die Niño-Indizes zuerst normalisiert werden). Niño3- und Niño4-Indizes sind über (5°S-5°N, 150°W-90°W) bzw. (5° S-5° N, 160° E-150° W) gemittelte SST-Anomalien.
Ein willkürlicher Schwellenwert (Thr) kann auf die Indizes angewandt werden, um jedes Jahr in EP, CP oder eine Mischung (EP/CP) zu klassifizieren. In diesem Fall wird 0.7 der Indexstandardabweichung (sdev.) verwendet (gestrichelte Linien), wobei die extremen El Niños von 1982/83 und 1997/98 als EP-Ereignisse (dunkelrot) klassifiziert werden, bei denen EPI > EP Thr und CPI < CP Thr. Auf diese Weise können die El Niños 2015/16 und 1991/92 sowohl als EP als auch als CP (rot) klassifiziert werden, und die Ereignisse in Gelb sind CP El Niños (CPI > CP Thr, EPI < EP Thr).
Dasselbe gilt für La Niñas, jedoch mit negativen Schwellenwerten. Beachten Sie, wie sich die Ereignisklassifikation bei einer geringfügigen Verschiebung der Schwellenwerte ändern kann. Die Grösse der Kreise entspricht der Grösse der Niño3.4-Anomalie: grosse Kreise für |Niño3.4| > 1.8 sdev; mittlere Kreise für 1 sdev < |Niño3.4| < 1.8 sdev; kleine Kreise für 0.5 sdev < |Niño3.4| < 1 sdev. Graue Kreise werden als neutrale Jahre betrachtet (|Niño3,4| < 0,5 sdev). Die NOAA Extended Reconstructed SST Version 5 (ERSSTv5; Huang et al. 2017) wird in dieser Analyse verwendet, wobei lineare Trends entfernt wurden.
Zur Überwachung, Bewertung (historischer Vergleich) und Vorhersage von ENSO-Bedingungen, werden verschiedene Indizes herangezogen. Sie helfen bei der Bestimmung, wann ein ENSO-Ereignis "ausgerufen" wird. Diese Ausrufungen sind oft der Auslöser für frühzeitige Maßnahmen in Erwartung der erwarteten Klimabedingungen. Im Jahr 2015 beispielsweise nahmen kenianische Meteorologen den von den WMO Global Producing Centres of Long-Range Forecasts (GPCs) vorhergesagten "starken El Niño" zur Kenntnis und alarmierten die Öffentlichkeit und die zuständigen Ministerien. So wurden beispielsweise Gesundheits- und Landwirtschaftsministerien gewarnt, damit sie sich auf Überschwemmungen einstellen und die möglichen Auswirkungen reduzieren konnten. Zusätzlich zu den Maßnahmen der Regierung mobilisierten humanitäre Organisationen wie das Rote Kreuz frühzeitig Maßnahmen zur Begrenzung möglicher Schäden. Trotz der unvollkommenen Korrelation zwischen der Stärke von El Niño, der Telekonnektivität von Extremereignissen und den humanitären Auswirkungen verwechseln die Menschen diese Parameter oft und handeln eher, wenn das Ereignis als "stark" bezeichnet wird. In diesem Fall lag der Niederschlag in ganz Kenia tatsächlich 35 % über dem Durchschnitt, aber nur wenige lokale Extremniederschläge verursachten Schäden.
Eine Reihe von Indizes bezieht sich auf den Ozean und basiert auf großflächigen Durchschnittswerten der Anomalien der Meeresoberflächentemperatur, wobei die Anomalie als Abweichung von einem 30-jährigen klimatologischen Durchschnitt definiert ist. Die am häufigsten verwendeten Regionen zur Berechnung dieser Anomalien sind Niño-1+2 (0°-10°S, 80°-90°W), Niño-3 (5°N-5°S, 90°-150°W), Niño-3.4 (5°N-5°S, 120°-170°W) und Niño-4 (5°N-5°S, 150°W-160°E) (Abbildung unten). Niño-1+2 erfasst die Variabilität in der Nähe der südamerikanischen Küste, Niño-3 erfasst die Variabilität in der äquatorialen Kaltluftzunge des östlichen Pazifiks und Niño-4 erfasst die Variabilität weiter westlich im Warmwasserkörper (warm pool). Die Indexregionen Niño-1+2, Niño-3 und Niño-4 wurden vom Climate Diagnostics Center der NOAA (später Climate Prediction Center) im Jahr 1982 entwickelt und werden seitdem zur Echtzeitüberwachung der sich entwickelnden ENSO-Bedingungen eingesetzt.
ENSO Index-Regionen
Geographische Verteilung der ENSO-Indexregionen (Kästen) und die Standorte der Wetterstationen auf Tahiti und Darwin Wetterstationen, die zur Berechnung des Index der Südlichen Oszillation aus den Daten des atmosphärischen Oberflächendrucks verwendet werden.
Die Niño-3.4-Region, die sich mit den Niño-3- und Niño-4-Regionen überschneidet, wurde erst später hinzugefügt, und zwar aufgrund ihrer hohen Korrelation mit dem Southern Oscillation Index (s.u.) und der Stärke ihrer Korrelation mit ENSO-bezogenen Klimaanomalien in der ganzen Welt. Der Oceanic Niño Index (ONI) der NOAA verwendet einen fortlaufenden Dreimonatsdurchschnitt der Niño-3.4-SST, um die Entwicklung von El Niño- und La Niña-Ereignissen zu verfolgen. Der Drei-Monats-Durchschnitt wurde entwickelt, um signifikante Schwankungen von Monat zu Monat herauszufiltern, die im tropischen Pazifik auftreten, um ein klareres Bild der sich entwickelnden ENSO-Bedingungen zu erhalten. Die NOAA stuft ein Ereignis als El Niño ein, wenn der ONI in fünf oder mehr aufeinanderfolgenden Monaten über 0,5°C steigt, und als La Niña, wenn er in fünf oder mehr aufeinanderfolgenden Monaten unter -0,5°C fällt.
Ein weiterer häufig verwendeter Index zur Charakterisierung des Zustands der Atmosphäre ist der Southern Oscillation Index (SOI). Dieser Index basiert auf den Anomalien einer 30-jährigen Klimatologie des Oberflächenluftdrucks in Tahiti, Französisch-Polynesien (17° 39'S, 149° 28'W), abzüglich des Luftdrucks in Darwin, Nordaustralien (12° 28'S, 130° 51'E), nach Normierung durch die jeweiligen Standardabweichungen an jeder Station. Tahiti und Darwin sind so gelegen, dass sie die Schwankung des atmosphärischen Drucks zwischen der östlichen und westlichen Hemisphäre zu erfassen. Der Druckunterschied zwischen Tahiti und Darwin ist ein Maß für die Stärke der Passatwinde, da die Oberflächenwinde in niedrigen Breiten tendenziell dem Druckgradienten folgen. Wenn also der Luftdruck auf Tahiti relativ zu Darwin hoch ist (positiver SOI), sind die Passatwinde stärker als normal, und wenn der Luftdruck auf Tahiti relativ zu Darwin niedrig ist (negativer SOI), sind die Passatwinde schwächer als normal.
Das Nationale Klimazentrum (NCC) von Australien verwendet den NINO3.4 Index zur Klassifizierung der ENSO-Bedingungen. Der NINO3.4-Index ist definiert als der Durchschnitt der SST-Anomalien über der Region 5°N - 5°S und 170° - 120°W. Das NCC stuft die NINO3.4-Temperaturanomalie als "warm" ein, wenn sie 0,8°C überschreitet, was etwa einer Standardabweichung über dem Durchschnitt entspricht. Analog dazu werden Anomalievorhersagen unter -0,8°C als "kühl" eingestuft, während die Werte dazwischen als "neutral" gelten.
Ein Maß dafür, wie stark Ozean und Atmosphäre auf ENSO-Zeitskalen gekoppelt sind, ist die sehr deutliche Anti-Korrelation zwischen dem SOI und der Niño-3.4-SST (s. Abb. oben). Diese Indizes zeigen, dass, wenn die Passatwinde anomal schwach sind (negativer SOI), der Zentralpazifik anomal warm ist (positiver Niño-3.4), Bedingungen, die El Niño definieren. Umgekehrt ist der zentrale Pazifik bei anomal starken Passatwinden (positiver SOI) anomal kalt (negativer Niño-3.4), Bedingungen, die La Niña definieren. Die Zero-Lag-Korrelation zwischen diesen beiden Zeitreihen über die letzten 70 Jahre (seit 1950) beträgt etwa -0,9, was bemerkenswert ist, wenn man bedenkt, dass die beiden Indizes, der eine ozeanisch, der andere atmosphärisch, völlig unabhängig voneinander abgeleitet werden.
Andere ENSO-Indizes wurden für spezielle Zwecke entwickelt, wie der Cold Tongue Index, der auf SST-Anomalien in der Region 6°N-6°S, 90°W-180° basiert, und der Multivariate ENSO-Index, der eine statistische Kombination aus SST, Luftdruck und -temperatur, Oberflächenwinden und Bewölkung verwendet. Darüber hinaus wurden mehrere Indizes entwickelt, um die räumliche Vielfalt der ENSO-SST-Muster zu charakterisieren. Diese letztgenannten Indizes beruhen häufig auf Kombinationen der traditionelleren Niño-Indizes, da kein einzelner Index die gesamte Bandbreite der im ENSO-Zyklus beobachteten Variabilität beschreiben kann.
Diese Indizes werden teilweise von den nationalen Wetterdiensten unterschiedlich berechnet, so dass es keine einheitliche Definition gibt. Auch beziehen sie unterschiedliche Variablen und Kombinationen von Variablen ein.
Animated plot of the Oceanic Niño Index (ONI) from 1950-2023, with significant El Niño events labeled
Beispielsweise variierte im Zeitraum 2015/16 wie in den vorangegangenen Jahren der Zeitpunkt der Aktualisierungen und Erklärungen des El Niño-Status aufgrund unterschiedlicher Datensätze und ENSO-Kriterien und -Schwellen, die von unterschiedlichen regionalen Auswirkungen bestimmt werden. So gibt Peru beispielsweise Prognosen für einen "Küsten-El Niño" heraus, weil die Menge der Regenfälle, die an der Küste niedergehen, sehr empfindlich darauf reagiert, wie warm die an Südamerika angrenzenden Meeresoberflächentemperaturen (SST) werden (z.B. Takahashi 2004). Letztendlich untersucht jedoch jede Behörde ein breites Spektrum von ozeanischen und atmosphärischen Anomalien, um sie in ihre Aktualisierungen einzupflegen. International ist die Niño-3.4 SST-Region im äquatorialen Ost- bis Zentralpazifik vielleicht das häufigste Maß für ENSO, da diese Region stark mit der darüber liegenden Atmosphäre (z.B. Barnston et al. 1997) und mit globalen Telekonnektionen gekoppelt ist. Dieser Index wird auch tendenziell für operationelle Darstellungen genutzt.
ENSO ist ein weitläufiges, vielschichtiges und gekoppeltes Ozean-Atmosphäre-Phänomen, das jedes Land auf eine andere Weise betrifft. Die folgende Tabelle fasst die aktuellen El Niño-Definitionen und die damit verbundenen Überwachungs-, Warn- und Alarmstufen zusammen. Diese werden in Verbindung mit den nationalen ENSO-Updates eingesetzt.
Die aktuellen ENSO-Definitionen und die verschiedenen Warnstufen in drei Ländern - ein Überblick (engl.)
Australian Bureau of Meteorology
El Niño/La Niña watch: The chance of an El Niño developing in the coming season has increased. When these criteria have been met in the past, El Niño/La Niña conditions have developed around 50% of the time. The following criteria are used:
ENSO phase is currently neutral or La Niña/El Niño is declining.
Either of the following conditions apply: of the closest 20 analog years (based on SOI), 4 or more have shown El Niño/La Niña characteristics or significant subsurface warming (El Niño) or cooling (La Niña) has been observed in the western or central equatorial Pacific Ocean.
One-third or more of the surveyed climate models show SSTs at least 0.8°C above average (El Niño) or below average (La Niña) in the Niño-3 or Niño-3.4 regions by late winter or spring.
El Niño/La Niña alert: The chance of an El Niño/La Niña developing in the coming season has increased. When these criteria have been met in the past, El Niño/La Niña has developed around 70% of the time. The following three criteria need to be met:
A clear warming (El Niño) or cooling (La Niña) trend has been observed in the Niño-3 or Niño-3.4 regions during the past 3–6 months.
Trade winds have been weaker (El Niño) or stronger (La Niña) than average in the western or central equatorial Pacific Ocean during any 2 of the last 3 months.
The 2-month average SOI is −7 or lower (El Niño) or +7 or higher (La Niña).
A majority of surveyed climate models show SSTs at least 0.8°C above average (El Niño) or below average (La Niña) in the Niño-3 or Niño-3.4 regions by the late winter or spring.
El Niño/La Niña: An El Niño/La Niña has been declared and is under way. Any three of the following criteria need to be met:
Temperatures in the Niño-3 or Niño-3.4 regions are 0.8°C warmer (El Niño) or cooler (La Niña) than average.
Trade winds have been weaker (El Niño) or stronger (La Niña) than average in the western or central equatorial Pacific Ocean during any 3 of the last 4 months.
The 3-month average SOI is −7 or lower (El Niño) or +7 or higher (La Niña).
A majority of surveyed climate models show SSTs remaining at least 0.8°C above average (El Niño) or below average (La Niña) in the Niño-3 or Niño-3.4 regions of the Pacific until the end of the year.
Comité encargado del Estudio Nacional del Fenómeno El Niño (ENFEN Committee, Peru)
ENFEN monitors and predicts El Niño/La Niña in two regions:
The first is the “coastal” El Niño (La Niña), when the Índice Costero El Niño (ICEN; 3-month running-mean Niño-1+2 SST index, www.met.igp.gob.pe/datos/icen.txt) is above (below) 0.4°C (−1.0°C) for three or more consecutive months. The overall strength of the event is determined by the three largest ICEN values in the event, according to preestablished thresholds. In the Northern Hemisphere winter/spring, warming can produce heavy rain over the arid coast.
The second region is the “central Pacific” El Niño/La Niña, which is based on the Niño-3.4 SST index using a threshold of ±0.5°C. This impacts the Peruvian Andes and the Amazon through teleconnections.
The following are the alert system states for the coastal El Niño/La Niña:
Coastal El Niño/La Niña watch, when there is a higher expectation that El Niño/La Niña will occur than not.
Coastal El Niño/La Niña alert, when the El Niño/La Niña is believed to have started based on observed ocean–atmosphere conditions and/or if the ICEN qualifies.
Inactive, when neutral conditions are present or El Niño/La Niña conditions are expected to end.
National Oceanic and Atmospheric Administration (NOAA)/Climate Prediction Center, United States
El Niño/La Niña watch: When oceanic and atmospheric conditions across the tropical Pacific are favorable for the onset of El Niño–La Niña within the next 6 months.
El Niño/La Niña advisory, when El Niño/La Niña conditions are present as measured by the following three criteria:
El Niño advisory:
1-month Niño-3.4 SST index value that is at or in excess of +0.5°C,
atmospheric conditions are consistent with El Niño (i.e., weaker low-level trade winds, enhanced convection over the central or eastern Pacific Ocean), and
The expectation that El Niño will persist as measured by at least five overlapping seasonal (3-month average) Niño-3.4 SST index values at or in excess of +0.5°C.
La Niña advisory:
1-month Niño-3.4 SST index value that is equal to or less than −0.5°C,
atmospheric conditions are consistent with La Niña (i.e., stronger low-level trade winds, suppressed convection over the central Pacific Ocean), and
the expectation that La Niña will persist as measured by at least five overlapping seasonal (3-month average) Niño-3.4 SST index values at or less than −0.5°C.
Final El Niño/La Niña advisory, when the El Niño/La Niña has ended.
Not active (NA), when the ENSO alert system is not active.
Engl. ENSO complexity; der Begriff erweitert das Konzept der ENSO-Diversität um zeitliche Merkmale (Wetter, Jahreszyklus, interannuelle bis dekadische Zeitskalen), Dynamik, Vorhersagbarkeit und globale Auswirkungen.
ENSO Zyklus
Zusammengesetzte Entwicklung der El-Niño-Ereignisse von 1958 bis 2015. a, b, Mittlere SST (a) und potentielle subsurface temperature (b) zwischen 2° N und 2° S. Die Tiefe der 20 °C-Isotherme (Z20) wird durch die schwarze Linie angezeigt. c-h, Zusammengesetzte Anomalie der Meeresoberflächentemperaturen (engl. sea surface temperature anomaly, SSTA) und subsurface temperature anomalies von 17 El-Niño-Ereignissen (1963, 1965, 1968, 1969, 1972, 1976, 1977, 1982, 1986, 1987, 1991, 1994, 1997, 2002, 2004, 2006 und 2009), basierend auf der 0.5 °C Überschreitung des dreimonatigen Mittelwertes der NOAA ERSST.v5 (Extended Reconstructed Sea Surface Temperature dataset, Version 5) SSTAs in der Niño3.4-Region (gemittelt über 5° S-5° N und 120° W-170° W). Die Pfeile stellen Windanomalien dar, und in den Kästen sind die wichtigsten Prozesse aufgeführt, die an den Phasen der El-Niño-Evolution beteiligt sind. i, Die jahreszeitlichen zusammengesetzten Mittelwerte (Linien) und die Ausbreitung (Schattierung) der ostäquatorialen pazifischen SSTA (rot; gemittelt über die Niño3-Region: 5° S-5° N und 90° W-150° W) und der äquatorialen pazifischen Zonenmittelwerte Z20 (blau) für die 17 El-Niño-Ereignisse. Die Raute veranschaulicht, dass die Vorhersagbarkeit von ENSO mit zunehmender ENSO-Signalstärke zunimmt. j, Die monatliche Standardabweichung (s.d.) des Niño3 SSTA (rote Linie) und eine Schätzung der monatlichen ENSO-Wachstumsrate auf der Grundlage des Bjerknes-Stabilitätsindex. Die Fehlerbalken zeigen den 90%-Konfidenzbereich für den Index, der aus dem Standardfehler der Regressionssteigung berechnet wurde. k, Zeitreihe der Niño3 SSTA und zonale mittlere äquatoriale äquatoriale Pazifik-Tiefenanomalie aus der 20 °C-Isotherme (2° S-2°N und 120° E-80° W) aus dem zusammengeführten Datenprodukt.
Quelle: Timmermann et al. 2018
Das Konzept von El Niño hat sich von einer klassischen Auffassung des Phasenverlaufs vom Beginn bis zur Reife und zum Untergang (s. Abb. oben) zu einer Auffassung weiterentwickelt, die seine raumzeitliche Komplexität und die unterschiedlichen klimatischen Auswirkungen berücksichtigt (s. Abb. unten). Ferner wurde auch festgestellt, dass ENSO sich zwar in erster Linie als jährliche Klimaschwankung manifestiert, aber seine Dynamik eine Vielzahl von Prozessen beinhaltet, die auf Zeitskalen zwischen Wochen und Jahrzehnten interagieren. Die Vielfalt der Muster, Amplituden und zeitlichen Entwicklung dieses Klimaphänomens wird als ENSO-Komplexität bezeichnet. (Timmermann et al. 2018)
Raum-zeitliche Komplexität von ENSO
a, b, Erste (a) und zweite (b) EOF-Muster eines linear entzerrten SSTA95, berechnet für 25° S-25° N und 140° E-80° W im Zeitraum 1920-2016, mit der zugehörigen varianzerhaltenden spektralen Leistungsdichte der links dargestellten normalisierten Hauptkomponenten (die vertikale Achse ist die Periode in Jahren und die horizontale Achse ist der Logarithmus der Leistung). Zahlen in Klammern geben die Varianz der EOF-Modi an.
c–e, Die raum-zeitliche Entwicklung des pazifischen SSTA betrug im Durchschnitt über 5° S-5° N für ausgewählte beobachtete ENSO-Ereignisse, den 28. 5 °C-Isotherme des SST (rote Kurve), die den Rand des westpazifischen Wärmebeckens darstellt, die Länge und Stärke von WWEs99 (schwarze Kreise) und (links) die zugehörige äquatoriale pazifische Wärmeinhaltsanomalie (Temperaturanomalie gemittelt über die oberen 300 m des Ozeans und zwischen 5° S-5° N und 120° E-90° W; Bereich von -1 K bis 1 K; rot, positiv; blau, negativ). f–m, Räumliches Muster von SSTA (schattiert) und Niederschlagsanomalie (Konturen; durchgezogene Linie, positiv; gestrichelte Linie, negativ; 2 mm d-1-Intervall; Nullkontur weggelassen), gemittelt über die Saison November-Januar ausgewählter ENSO-Ereignisse. Wir stellen fest, dass starke Wärmeereignisse (1997/98 und 2015/16) sehr starke Verschiebungen der Niederschläge nach Osten und zum Äquator hin verursachen. Unten rechts von a, b und f-m zeigen wir die zugehörigen Hauptkomponenten (PC); nämlich die Projektion jedes räumlichen SSTA-Musters auf die EOF-Muster in a und b. Die Abszisse ist PC1, die Ordinate PC2 und die Pfeillänge ist proportional zur Magnitude im Raum PC1-PC2 (eine Pfeilamplitude von 1 wird durch die Kreise angezeigt).
Bezeichnung für die Praktiken oder Prozesse, die zur Umwandlung von waldbedecktem Land zu dauerhaft waldfreiem Land führen. Dieser Vorgang wird aus zwei Gründen häufig als eine der Hauptursachen des verstärkten Treibhauseffektes genannt:
Das Verbrennen oder die Zersetzung des Holzes setzt Kohlendioxid frei.
Bäume, die einstmals der Atmosphäre Kohlendioxid entzogen haben, sind nicht mehr vorhanden und tragen nicht mehr zur Speicherung des Kohlendioxids bei.
Obwohl der konventionelle Southern Oscillation Index (SOI) eine langen Reihe von Stationsdaten seit dem 18. Jahrhundert hat, ist seine Zuverlässigkeit eingeschränkt, und zwar aufgrund der Lage von Darwin und Tahiti weit südlich des Äquators, so dass der oberflächennahe Luftdruck an beiden Standorten weniger direkt mit ENSO verbunden ist.
Um dieses Problem zu überwinden, wurde ein neuer Index mit dem Namen S (EQSOI) geschaffen, auch als Equatorial Oscillation Index (EOI) bezeichnet. Zur Generierung dieser Indexdaten, wurden zwei neue Regionen, die sich auf den Äquator konzentrieren, abgegrenzt, um den neuen Index zu erstellen: Die westliche liegt über Indonesien und die östliche über dem äquatorialen Pazifik, nahe der südamerikanischen Küste (Siehe Grafik unten). Allerdings reichen die Daten des EQSOI nur bis 1949 zurück.
Equatorial Southern Oscillation Index
Der Equatorial Southern Oscillation Index vergleicht Druckanomalien in einer breiten Region des westlichen tropischen Pazifiks (5 Grad nördlicher und südlicher Breite, 80-130 Grad westlicher Länge) mit Druckanomalien auf der anderen Seite des Pazifikbeckens (5 Grad nördlicher und südlicher Breite, 90-140 Grad östlicher Länge). NOAA Climate.gov Bild von Fiona Martin.
In der folgenden Darstellung wird der Equatorial Southern Oscillation Index (EQSOI) als standardisierte Anomalie der Differenz zwischen dem monatlichen Gebietsmittel des Meeresspiegeldrucks in einem Gebiet des östlichen Äquatorialpazifiks (80°W - 130°W, 5°N - 5°S) und einem Gebiet über Indonesien (90°E - 140°E, 5°N - 5°S) berechnet. Der SOI wird als standardisierte Differenz zwischen den standardisierten monatlichen mittleren Luftdruckanomalien auf Tahiti und den standardisierten monatlichen mittleren Luftdruckanomalien auf Darwin berechnet. Der für die Berechnung der Anomalien verwendete Basiszeitraum ist Januar 1991 bis Dezember 2020.
Southern Oscillation Index (SOI) und Equatorial SOI
Diese Grafik zeigt die Zeitreihen des Dreimonatsdurchschnitts des Equatorial Southern Oscillation Index (EQ_SOI; in rot) und des Dreimonatsdurchschnitts des Southern Oscillation Index (SOI; in blau) für die letzten 20 Jahre.
Unter El Niño-Bedingungen, wenn der Luftdruck über dem westlichen Pazifik über dem Durchschnitt und über dem östlichen Pazifik unter dem Durchschnitt liegt, sind die Werte für SOI und EQSOI negativ. Umgekehrt führen La Niña-Bedingungen zu positiven Werten für die beiden atmosphärischen Indizes.
Etwas vertieft
Zur Beschreibung der Wind- und Druckverteilung im äquatorialen Pazifik wird ein Äquatorialer Oszillationsindex (EOI) definiert, der auf dem zonalen Gradienten des Luftdrucks an der Meeresoberfläche zwischen dem westlichen und östlichen Pazifik entlang des Äquators basiert. Der EOI weist eine stärkere Korrelation mit der Niño3.4-Anomalie der Meeresoberflächentemperatur (SSTA) sowie mit West-/Ostwindausbrüchen (WWBs/EWBs) auf und ist damit dem Southern Oscillation Index (SOI) überlegen.
Im Allgemeinen stimmt der EOI mit dem SOI überein, die beide großräumige Druckschwankungen auf dem Meeresspiegel widerspiegeln. Wenn jedoch die SSTAs zwischen dem Äquator und den subtropischen Regionen uneinheitlich sind, kann der SOI aufgrund der umgekehrten Änderungen des Meeresspiegeldrucks in den subtropischen Regionen im Gegensatz zum EOI stehen. Infolgedessen passt der SOI nicht zum Muster von El Niño, während der EOI dieses Muster noch gut abbilden kann. Daher kann der EOI die Variabilität der Niño3.4 SSTA und WWBs/EWBs besser beschreiben.
Die Korrelation zwischen der SOI und der Niño3.4 SSTA erreicht im Mai ihr Minimum, was auf die großen einmonatigen Änderungen des Meeresspiegeldrucks von April bis Mai im subtropischen Südpazifik zurückzuführen ist, die möglicherweise mit der Frühjahrsvorhersagebarriere (SPB) zusammenhängen. Die neu definierte EOI kann für die Überwachung von ENSO und die Vorhersage von ENSO hilfreich sein.
Engl. global warming hiatus oder global warming pause; Begriff zur Bezeichnung einer Phase relativ stagnierender Oberflächentemperaturen zwischen 1998 und 2013, die dem Trend zur globalen Erwärmung der Erdoberfläche scheinbar widersprach.
Während die globalen Temperaturen bis weit in die 1990er Jahre markant anstiegen, wurde es seit 1998 auf der Erde im Mittel nur wenig wärmer. Dies obschon der Ausstoß an Treibhausgasen in die Atmosphäre weiter zunahm und die wissenschaftlichen Klimamodelle deswegen eine starke Erwärmung voraussagten. Klimaskeptiker nutzten den vermeintlichen Widerspruch, um den Klimawandel per se oder zumindest das Schadenspotenzial der Treibhausgase sowie die Aussagekraft der Klimamodelle in Frage zu stellen. Die Mehrheit der Klimawissenschaftler betonte derweil stets, dass sich die kurzfristige Erwärmungspause durchaus im Einklang mit der gängigen Wissenschaftsmeinung erklären lasse und einer langfristigen Erwärmung nicht widerspreche.
In einer Studie der ETH Zürich kommen Forscher zum Schluss, dass für die Pause zwei wichtige Gründe zu etwa gleichen Teilen verantwortlich sind:
Ein wichtiger Grund sind zunächst natürliche Klimaschwankungen. Die Klimaphänomene El Niño und La Niña im Pazifik sind davon die bekanntesten und bedeutendsten. Insgesamt erwärmt sich die globale Atmosphäre um circa 0.1 Grad Celsius im Jahr nach einem durchschnittlichen El Niño. Nach dem extrem starken "Jahrhundert-El-Niño" von 1997/98 lag die Erwärmung bei mehr als 0.2 Grad. Bei La Niña verhält es sich gerade umgekehrt: die kleine «kalte» Schwester führt zu einer Abkühlung des Ostpazifiks und in Folge der Atmosphäre. Das Gegenphänomen La Niña hingegen hat die vergangenen Jahre kälter gemacht, als sie ohne dieses Phänomen gewesen wären. Klimamodelle berücksichtigen zwar solche Schwankungen grundsätzlich. Es ist jedoch unmöglich vorauszusagen, in welchem Jahr diese Phänomene eintreten.
Die globale Erdoberflächentemperatur seit 1850
Die rote Kurve zeigt jährliche Mittelwerte relativ zum Mittelwert von 1961-1990. Die horizontalen Linien zeigen Mittelwerte von Temperaturrekonstruktionen (Orange: NOAA; Blau: NASA GISS).
Die Beobachtungen zeigen, dass sich seit 1997/98 praktisch kein ausgeprägter El Niño entwickelte, während es doch einige recht starke La Niñas gab. Wenn man die globale Temperaturkurve der letzten zwei Jahrzehnte betrachtet, fällt auf, wie stark die wärmsten Jahre mit El Niños und die eher kälteren Jahre mit La Niñas zusammenfallen.
Der Auszug in der Grafik zeigt die Entwicklung der Erdoberflächen-temperatur seit Anfang der 1990er Jahre im Detail. Die roten Quadrate identifizieren Jahre, die durch El Niño geprägt sind, während die grünen solche mit La-Niña-Ereignissen bezeichnen. Die Grösse der Symbole stellt die Stärke dieser Phänomene dar.
Der zweite wichtige Grund für die Klimapause ist laut der Studie, dass in den vergangenen Jahren die Sonneneinstrahlung weniger stark war als vorhergesagt. Das hat damit zu tun, dass die bekannten Schwankungen in der Intensität der Sonnenstrahlung derzeit atypisch sind: Während die sogenannten Sonnenfleckenzyklen in der Vergangenheit jeweils 11 Jahre dauerten, dauerte die letzte Periode schwacher Sonnenstrahlung aus unbekannten Gründen 13 Jahre.
Außerdem haben mehrere Vulkanausbrüche wie jener des Eyjafjallajökull in Island 2010 die Konzentration von Schwebeteilchen (Aerosol) in der Atmosphäre erhöht. Dies reduzierte die auf der Erdoberfläche eintreffende Sonnenstrahlung weiter.
Die Wissenschaftler zogen Ihre Schlüsse aus Korrekturberechnungen der Klimamodelle. Sie suchten in allen Klimasimulationen nach Zeiträumen, deren El Niño/La Niña-Muster den Messdaten der Jahre 1997 bis 2012 entsprachen. Eine Kombination von gut 20 so gefundenen Zeiträumen ließ sie den Einflusses von El Niño und La Niña realistisch abschätzen. Außerdem setzten sie in den Modellrechnungen für die Sonnenaktivität und die Aerosolkonzentration in der Erdatmosphäre rückwirkend die tatsächlich gemessenen Werte ein. Auf diese Weise korrigierte Modellrechnungen sind viel näher an den Temperaturmessdaten.
Die Gründe für die Diskrepanz zwischen Klimamodellen und Messdaten in den letzten 16 Jahren sind wahrscheinlich nicht ausschließlich darin zu suchen, dass die Modelle zu hohe Werte liefern. Kritisch hinterfragen muss man wohl auch die Interpretation der offiziellen Messdaten. Wahrscheinlich sind diese zu tief. Denn zur Berechnung der globalen Durchschnittstemperatur werden nur Messwerte von Wetterstationen am Boden verwendet, und solche gibt es nicht überall auf der Erde. So wissen Wissenschaftler beispielsweise von Satellitendaten, dass sich die Arktis in den vergangen Jahren besonders stark erwärmte. Weil es dort jedoch keine Wetterstationen gibt, fehlen Messpunkte mit besonders hohen Ausschlägen gegen oben. Die Durchschnittstemperatur wird folglich zu tief angegeben.
Britische und kanadische Forscher schlugen 2013 eine alternative Temperaturkurve vor, in die sie für Regionen ohne Wetterstationen Temperaturschätzungen von Satellitendaten einfließen ließen und die höhere Werte aufweist. Werden die Modelldaten wie von den ETH-Forschern vorgeschlagen nach unten und die Messdaten wie von den britischen und kanadischen Forschern nach oben korrigiert, stimmen Modell und Beobachtung ausgesprochen gut überein.
Auch der IPCC hielt in seinem Sechsten Sachstandsbericht (2021) fest, dass die menschengemachte Erwärmung der Erdoberfläche im Zeitraum 1998–2012 durch interne Variabilität des Klimasystems sowie Fluktuationen von solaren und vulkanischen Klimafaktoren teilweise verborgen wurde, während sich die Klimaerwärmung insgesamt weiter fortsetzte.
Trotz Klimapause gibt es keinen Anlass, an den bisherigen Berechnungen zur Klimaaktivität von Treibhausgasen und an den neuesten Klimamodellen zu zweifeln. Sobald sich Sonnenaktivität und Aerosolkonzentration in der Atmosphäre sowie Klimaphänomene wie El Niño wieder natürlicherweise den Werten früherer Jahrzehnte annähern, wird die Erwärmung wahrscheinlich weitergehen.
Von Griechisch εὖeu, „gut“, und φῶς phōs, Gen. φωτός phōtos „Licht“, auch photische Zone; die obere, in klarstem Wasser ca. 100 m bis max. 200 m, in trübem Wasser von Lagunen nur wenige Dezimeter mächtige Schicht des Ozeans, in der das einfallende Licht photosynthetisch wirksam ist und so bevorzugt die Primärproduktion ermöglicht und damit Sauerstoff produziert wird. Die Photosyntheseleistung ist besonders hoch in Auftriebsgebieten. In dieser Zone befindet sich die überwiegende Mehrheit der kommerziellen Fischerei, und hier leben viele geschützte Meeressäuger und Meeresschildkröten.
Mit der Tiefe nimmt das Licht so stark ab (durch Brechung, Streuung und Absorption), dass mehr Energie durch die Pflanzenatmung verbraucht wird, als durch Photosynthese produziert werden kann, daher ist Pflanzenwachstum in relativ geringer Tiefe bereits nicht mehr möglich, obwohl noch Restlicht vorhanden ist (dysphotische Zone). Licht unterschiedlicher Wellenlängen wird nicht gleichmäßig absorbiert: rotes Licht (ca. 650 nm) ist bereits in 10 m Tiefe nur noch mit 1 % vertreten, während blaues Licht (ca. 450 nm) am weitesten eindringt (in klarem Wasser bis in 150 m Tiefe).
Wo auch das letzte Tageslicht verschwunden ist, beginnt die aphotische Zone. Die aphotische Zone existiert in Tiefen unter 1.000 Metern. Das Sonnenlicht dringt nicht bis in diese Tiefe vor und die Zone ist in Dunkelheit getaucht. Die aphotische Zone wird weiter unterteilt in die bathypelagische Zone (Bathypelagial) zwischen 1.000 und 4.000 Metern, die abyssopelagische Zone (Abyssopelagial) zwischen 4.000 und 6.000 Metern und die hadopelagische Zone (Hadopelagial) ab 6.000 Metern.
Wie tief reicht das Sonnenlicht im Ozean?
Der Ozean ist je nach Tiefe und Lichtverhältnissen in drei Zonen unterteilt:
euphotische Zone
dysphotische Zone
aphotische Zone
Einige Meeresbewohner sind auf Licht angewiesen, um zu leben, andere kommen ohne Licht aus. "Photisch" ist eine Ableitung von "Photon", dem Wort für ein Lichtteilchen.
Eutrophierung bezeichnet den übermäßigen Eintrag von Nährstoffen in Gewässer, wodurch es zur Erhöhung der Primärproduktion, zur Zunahme biologischer Abbauprozesse und zu Sauerstoffzehrung kommt. Im Extremfall können dadurch sauerstoffarme Zonen entstehen.
Die Exosphäre ist die oberste Schicht der Erdatmosphäre und markiert den fließenden Übergang zum Weltraum. Sie besteht meist aus nur leichten Teilchen. Da sich leichte Teilchen schneller bewegen können, fällt es ihnen leichter dem Gravitationsfeld der Erde zu entkommen. Auch in der Exosphäre herrschen Temperaturen von 1000 °C. Ab etwa 1000 km kommt nur noch meist ionisierter Wasserstoff vor.
Ein Ereignis, das an einem bestimmten Ort und zu einer bestimmten Jahreszeit selten ist, d.h. die dabei auftretenden Wetterzustände und Wetterlagen (dargestellt in Wetterelementen) weichen signifikant vom Durchschnitt ab. Die Definitionen für “selten” variieren, aber ein extremes Wetterereignis wäre normalerweise so selten wie oder seltener als das 10- oder 90 %-Perzentil der beobachteten Wahrscheinlichkeitsverteilung.
Als Basis dient eine klimatologische Referenzperiode, ein geographischer Bezug zu einer Klimaklassifikation, als Maß der Ausnahmeerscheinung die Jährlichkeit der Wetterelemente und anderer Wirkungsfaktoren (wie die Hochwasserpegel), wie auch der Versicherungsschaden oder der gesamtwirtschaftliche (Versicherter und unversicherter Direktschaden, Folgeschäden und Wiederherstellung, einschließlich der Opfer). Dem Begriff liegt keinerlei präzise Definition zugrunde, sondern ist ein pragmatischer Ausdruck der Dokumentation von Klima und Wetter in der Klimafolgenforschung oder im Versicherungswesen.
Per Definition kann die Charakteristik von so genanntem “Extremwetter” absolut gesehen von Ort zu Ort unterschiedlich sein. Einzelne Extremereignisse können nicht einfach und direkt der anthropogenen Klimaänderung zugeordnet werden, da immer eine begrenzte Chance besteht, dass das betreffende Ereignis natürlicherweise hätte auftreten können. Wenn ein Muster von extremem Wetter über eine bestimmte Zeitspanne, z.B. eine Saison, bestehen bleibt, kann es als “extremes Klimaereignis” klassiert werden, vor allem wenn es ein Mittel bzw. eine Summe aufweist, die seinerseits bzw. ihrerseits extrem ist (z.B. eine Dürre oder Starkniederschlag während einer ganzen Saison).
Extremereignisse sind von besonderer historischer und wirtschaftlicher Bedeutung. Als klimatologische Indikatoren sind sie aber ungeeignet: zum einen treten sie sehr unregelmäßig ein, und zum anderen muss der Mittelwert einer Referenzperiode bekannt sein, um eine Wetteranomalie als solche klassifizieren zu können. Der aktuelle langfristige Mittelwert setzt sich aber genau aus den eintretenden Wetterereignissen zusammen, aktuelle Extremereignisse können also nur mit abgelaufenen Bemessungszeiträumen verglichen werden / in Kontexte gesetzt werden.